Online Database of Chemicals from Around the World

[(2R,3R)-2-(6-氨基嘌呤-9-基)-3,4-二羟基-2,3-二氢呋喃-5-基]甲氧基-N-[[[(2R,3S,4R,5R)-5-(6-氨基嘌呤-9-基)-3,4-二羟基四氢呋喃-2-基]甲氧基-羟基磷酰]氧基-羟基磷酰]氨基磷酸
[CAS# 84625-58-1]

供应商
CAS#: 84625-58-1
产品: [(2R,3R)-2-(6-氨基嘌呤-9-基)-3,4-二羟基-2,3-二氢呋喃-5-基]甲氧基-N-[[[(2R,3S,4R,5R)-5-(6-氨基嘌呤-9-基)-3,4-二羟基四氢呋喃-2-基]甲氧基-羟基磷酰]氧基-羟基磷酰]氨基磷酸
暂时没有厂家供应该产品。
基本信息
产品名称 [(2R,3R)-2-(6-氨基嘌呤-9-基)-3,4-二羟基-2,3-二氢呋喃-5-基]甲氧基-N-[[[(2R,3S,4R,5R)-5-(6-氨基嘌呤-9-基)-3,4-二羟基四氢呋喃-2-基]甲氧基-羟基磷酰]氧基-羟基磷酰]氨基磷酸
英文名 [(2R,3R)-2-(6-Aminopurin-9-yl)-3,4-dihydroxy-2,3-dihydrofuran-5-yl]methoxy-N-[[[(2R,3S,4R,5R)-5-(6-aminopurin-9-yl)-3,4-dihydroxyoxolan-2-yl]methoxy-hydroxyphosphoryl]oxy-hydroxyphosphoryl]phosphonamidic acid
别名 N-[[(4R,5R)-5-(6-Aminopurin-9-Yl)-3,4-Dihydroxy-4,5-Dihydrofuran-2-Yl]Methoxy-Hydroxy-Phosphoryl]-[[(2R,3S,4R,5R)-5-(6-Aminopurin-9-Yl)-3,4-Dihydroxy-Tetrahydrofuran-2-Yl]Methoxy-Hydroxy-Phosphoryl]Oxy-Phosphonamidic Acid; N-[[(4R,5R)-5-(6-Amino-9-Purinyl)-3,4-Dihydroxy-4,5-Dihydrofuran-2-Yl]Methoxy-Hydroxyphosphoryl]-[[(2R,3S,4R,5R)-5-(6-Amino-9-Purinyl)-3,4-Dihydroxy-2-Tetrahydrofuranyl]Methoxy-Hydroxyphosphoryl]Oxyphosphonamidic Acid; N-[[(4R,5R)-5-(6-Aminopurin-9-Yl)-3,4-Dihydroxy-4,5-Dihydrofuran-2-Yl]Methoxy-Hydroxy-Phosphoryl]-[[(2R,3S,4R,5R)-5-(6-Aminopurin-9-Yl)-3,4-Dihydroxy-Oxolan-2-Yl]Methoxy-Hydroxy-Phosphoryl]Oxy-Phosphonamidic Acid
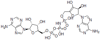
分子结构 CAS 登录号:84625-58-1, [(2R,3R)-2-(6-氨基嘌呤-9-基)-3,4-二羟基-2,3-二氢呋喃-5-基]甲氧基-N-[[[(2R,3S,4R,5R)-5-(6-氨基嘌呤-9-基)-3,4-二羟基四氢呋喃-2-基]甲氧基-羟基磷酰]氧基-羟基磷酰]氨基磷酸
分子式 C20H26N11O15P3
分子量 753.41
CAS 登录号 84625-58-1
分子行输入简码 SMILES [C@H]1(OC(=C(O)[C@H]1O)CO[P](=O)(O)N[P](O[P](OC[C@H]4O[C@@H]([N]2C3=C(N=C2)C(=NC=N3)N)[C@H](O)[C@@H]4O)(=O)O)(=O)O)[N]5C6=C(N=C5)C(=NC=N6)N
国际化学标识码 InChI 1S/C20H26N11O15P3/c21-15-9-17(25-3-23-15)30(5-27-9)19-13(34)11(32)7(44-19)1-42-47(36,37)29-48(38,39)46-49(40,41)43-2-8-12(33)14(35)20(45-8)31-6-28-10-16(22)24-4-26-18(10)31/h3-6,8,12-14,19-20,32-35H,1-2H2,(H,40,41)(H2,21,23,25)(H2,22,24,26)(H3,29,36,37,38,39)/t8-,12-,13-,14-,19-,20-/m1/s1
国际化学标识检索码 InChIKey DBGUCIAXKSPQMW-XJBFIMGMSA-N
物理化学性质
密度 2.538g/cm3 (计算值)
沸点 1198.087°C at 760 mmHg (计算值)
闪点 678.378°C (计算值)
市场分析报告
请浏览[(2R,3R)-2-(6-氨基嘌呤-9-基)-3,4-二羟基-2,3-二氢呋喃-5-基]甲氧基-N-[[[(2R,3S,4R,5R)-5-(6-氨基嘌呤-9-基)-3,4-二羟基四氢呋喃-2-基]甲氧基-羟基磷酰]氧基-羟基磷酰]氨基磷酸市场分析报告总目录
相关产品
1,5-二环己基巴比妥酸  3,3-二(4-羟基-3-苯基-苯基)异苯并呋喃-...  1-环己基-5-苯基巴比妥酸  3-(2-氨基-6-氧代-3H-嘌呤-9-基)丙酸  宽缨醇  苯并[e][1]苯并噻喃并[4,3-b]吲哚  Pericine  原卟啉铬 IX  1,5-二甲基-3-(5-苯基-1,3,4-恶二唑...  1-甲基-3-(5-(P-氯苯基)-1,3,4-恶...  1-甲基-3-(5-苯基-1,3,4-恶二唑-2-...  5-氯-3-(5-苯基-1,3,4-恶二唑-2-基...  5-氯-3-(5-(P-氯苯基)-1,3,4-恶二...  5-甲基-3-(5-苯基-1,3,4-恶二唑-2-...  1-甲基-2-氧代丙基苯乙酸酯