Online Database of Chemicals from Around the World

Rugosin E
[CAS# 84744-51-4]

Suppliers
CAS#: 84744-51-4
Product: Rugosin E
No suppilers available for the product.
Identification
Name Rugosin E
Synonyms D-Glucose, Cyclic 4-2':6-2-(4-(6-(((4,6-O-((4,4',5,5',6,6'-Hexahydroxy(1,1'-Biphenyl)-2,2'-Diyl)Dicarbonyl)-2,3-Bis-O-(3,4,5-Trihydroxybenzoyl)-Beta-D-Glucopyranosyl)Oxy)Carbonyl)-2,3,4-Trihydroxyphenoxy)-4',5,5',6,6'-Pentahydroxy(1,1'-Biphenyl)-2,2'-Dicarboxylate) 2,3-Bis(3,4,5-Trihydroxy; Rugosin E; D-Glucose, Cyclic 4.Fwdarw.2':6.Fwdarw.2-[(1S)-4-[6-[[[4,6-O-[[(1S)-4,4',5,5',6,6'-Hexahydroxy[1,1'-Biphenyl]-2,2'-Diyl]Dicarbonyl]-2,3-Bis-O-(3,4,5-Trihydroxybenzoyl)-.Beta.-D-Glucopyranosyl]Oxy]Carbonyl]-2,3,4-Trihydroxyphenoxy]-4',5,5',6,6'-Pentahydroxy[1,1'-Biphenyl]-2,2'-Dicarboxylate] 2,3-Bis(3,4,5-Trihydroxybenzoate)
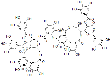
Molecular Structure CAS#: 84744-51-4, Rugosin E
Molecular Formula C75H54O48
Molecular Weight 1723.22
CAS Registry Number 84744-51-4
SMILES [C@H]9(COC(C1=C(C(=C(C(=C1)OC8=C(C(O[C@@H]3O[C@H]5[C@H]([C@H](OC(C2=CC(=C(C(=C2)O)O)O)=O)[C@H]3OC(C4=CC(=C(C(=C4)O)O)O)=O)OC(=O)C7=C(C6=C(C(OC5)=O)C=C(C(=C6O)O)O)C(=C(C(=C7)O)O)O)=O)C=C(C(=C8O)O)O)O)O)C%12=C(C(O[C@H]9[C@@H]([C@H](C=O)OC(C%10=CC(=C(C(=C%10)O)O)O)=O)OC(C%11=CC(=C(C(=C%11)O)O)O)=O)=O)C=C(C(=C%12O)O)O)=O)O
InChI 1S/C75H54O48/c76-14-40(116-66(104)17-1-26(77)46(90)27(78)2-17)62(119-67(105)18-3-28(79)47(91)29(80)4-18)61-38(89)15-113-71(109)24-13-39(54(98)58(102)45(24)44-22(72(110)118-61)10-35(86)52(96)57(44)101)115-60-25(12-37(88)53(97)59(60)103)74(112)123-75-65(122-69(107)20-7-32(83)49(93)33(84)8-20)64(121-68(106)19-5-30(81)48(92)31(82)6-19)63-41(117-75)16-114-70(108)21-9-34(85)50(94)55(99)42(21)43-23(73(111)120-63)11-36(87)51(95)56(43)100/h1-14,38,40-41,61-65,75,77-103H,15-16H2/t38-,40+,41-,61-,62-,63-,64+,65-,75+/m1/s1
InChIKey FJVMRJWMETUPFP-AIGHVOLPSA-N
Market Analysis Reports
List of Reports Available for Rugosin E
Related Products
Phosphohomocyclocreatine  7,8-Dihydro-7,7-Dimethyl-4-(4-(2-Phenyle...  Sarubicin B  2-[1-(Benzyl)-5-hydroxyindazol-3-yl]oxya...  5(S)-Hydroxy-6(R)-gamma-Glutamylcysteiny...  3-Amino-6-methoxyacridine  3-Dimethylamino-6-Methoxyacridine  3-Ethyl-N-Hydroxy-2-Benzofurancarboximid...  5-Fluoro-N-Hydroxy-3-Methyl-2-Benzofuran...  5-Chloro-N-Hydroxy-3-Methyl-2-Benzofuran...  5-Bromo-N-Hydroxy-3-Methyl-2-Benzofuranc...  5-Chloro-N-Hydroxy-3,4,6-Trimethyl-2-Ben...  N-Hydroxy-4-Nitro-2-Benzofurancarboximid...  N-Hydroxy-4-Methoxy-2-Benzofurancarboxim...  N-Hydroxy-5-Methoxy-2-Benzofurancarboxim...