Online Database of Chemicals from Around the World

2,2,4,4-四丁基-7-羟基-1,3,5,2,4-三氧杂二抑胃酶氨酰n壬烷-6,9-二酮
[CAS# 85702-85-8]

供应商
CAS#: 85702-85-8
产品: 2,2,4,4-四丁基-7-羟基-1,3,5,2,4-三氧杂二抑胃酶氨酰n壬烷-6,9-二酮
暂时没有厂家供应该产品。
基本信息
产品名称 2,2,4,4-四丁基-7-羟基-1,3,5,2,4-三氧杂二抑胃酶氨酰n壬烷-6,9-二酮
英文名 2,2,4,4-Tetrabutyl-7-hydroxy-1,3,5,2,4-trioxadistannonane-6,9-dione
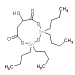
分子结构 CAS 登录号:85702-85-8, 2,2,4,4-四丁基-7-羟基-1,3,5,2,4-三氧杂二抑胃酶氨酰n壬烷-6,9-二酮
分子式 C20H40O6Sn2
分子量 613.95
CAS 登录号 85702-85-8
EINECS 登录号 288-277-6
分子行输入简码 SMILES CCCC[Sn]1(OC(=O)CC(C(=O)O[Sn](O1)(CCCC)CCCC)O)CCCC
国际化学标识码 InChI 1S/C4H6O5.4C4H9.O.2Sn/c5-2(4(8)9)1-3(6)7;4*1-3-4-2;;;/h2,5H,1H2,(H,6,7)(H,8,9);4*1,3-4H2,2H3;;;/q;;;;;;2*+1/p-2
国际化学标识检索码 InChIKey MYSOUECRFAEIOD-UHFFFAOYSA-L
物理化学性质
沸点 497.811°C at 760 mmHg (计算值)
闪点 254.867°C (计算值)
市场分析报告
请浏览2,2,4,4-四丁基-7-羟基-1,3,5,2,4-三氧杂二抑胃酶氨酰n壬烷-6,9-二酮市场分析报告总目录
相关产品
二甲基[二(壬酰氧基)]锡烷  二辛基{二[(3,5,5-三甲基己酰基)氧基]}锡...  二[(2-己基癸酰)氧基](二辛基)锡烷  S-[3-(三甲氧基硅烷基)丙基][6-({(6-...  2-乙酰基-N-(2-甲基-2-丙基)肼基硫代甲酰...  乙基2-氯-1H-苯并咪唑-5-羧酸酯  2,3-二氨基-6,7-二氢-1H,5H-吡唑并[...  4-氨基-1,2-二甲基-5-(甲基氨基)-1,2...  4,5-二氨基-1-乙基-2-甲基-1,2-二氢-...  4,5-二氨基-2-乙基-1-甲基-1,2-二氢-...  1-(1-苄基-4-哌啶基)丙-2-酮  乙基6-溴-4'-十六烷基-2,2'-联吡啶-4-...  (2-氯-1H-苯并咪唑-5-基)甲醇  1-(4-羟基-3,5-二甲基-1H-吡咯-2-基...  乙基5-溴-4-异丙氧基-3-甲基-1-苯并呋喃-...