Online Database of Chemicals from Around the World

2-乙基己基[(2-丁基-4,7-二氢-4,7-二氧代-1,3,2-二氧杂锡杂环庚烯-2-基)硫代]乙酸酯
[CAS# 85938-50-7]

供应商
CAS#: 85938-50-7
产品: 2-乙基己基[(2-丁基-4,7-二氢-4,7-二氧代-1,3,2-二氧杂锡杂环庚烯-2-基)硫代]乙酸酯
暂时没有厂家供应该产品。
基本信息
产品名称 2-乙基己基[(2-丁基-4,7-二氢-4,7-二氧代-1,3,2-二氧杂锡杂环庚烯-2-基)硫代]乙酸酯
英文名 2-ethylhexyl [(2-butyl-4,7-dihydro-4,7-dioxo-1,3,2-dioxastannepin-2-yl)thio]acetate
别名 2-ethylhexyl [(2-butyl-4,7-dihydro-4,7-dioxo-1,3,2-dioxastannepin-2-yl)thio]acetate
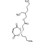
分子结构 CAS 登录号:85938-50-7, 2-乙基己基[(2-丁基-4,7-二氢-4,7-二氧代-1,3,2-二氧杂锡杂环庚烯-2-基)硫代]乙酸酯
分子式 C18H30O6SSn
分子量 493.20
CAS 登录号 85938-50-7
EINECS 登录号 288-885-1
分子行输入简码 SMILES CCC(CCCC)COC(=O)CS[Sn]1(OC(=O)C=CC(=O)O1)CCCC
国际化学标识码 InChI 1S/C10H20O2S.C4H4O4.C4H9.Sn/c1-3-5-6-9(4-2)7-12-10(11)8-13;5-3(6)1-2-4(7)8;1-3-4-2;/h9,13H,3-8H2,1-2H3;1-2H,(H,5,6)(H,7,8);1,3-4H2,2H3;/q;;;+3/p-3
国际化学标识检索码 InChIKey JLWUPTVRGOLUHE-UHFFFAOYSA-K
物理化学性质
沸点 467.147°C at 760 mmHg (计算值)
闪点 236.322°C (计算值)
市场分析报告
请浏览2-乙基己基[(2-丁基-4,7-二氢-4,7-二氧代-1,3,2-二氧杂锡杂环庚烯-2-基)硫代]乙酸酯市场分析报告总目录
相关产品
三丁基{[(4-十二烷基苯基)磺酰基]氧基}锡烷  N-(3-氨基丙基)-N-癸基-1,3-丙烷二胺  N-乙烯基十八烷酰胺  N-(3-氨基丙基)-2,2,3,3,4,4,5,...  丁基异丙基二硫代氨基甲酸酯  N-乙基-N,N-二甲基-1-十六烷铵2,3,5,...  N-乙基-N,N-二甲基-1-十六烷铵2-环己基苯...  N-乙基-N,N-二甲基-1-十六烷铵2-苄基-4...  N-乙基-N,N-二甲基-1-十六烷铵4-苄基苯酚  N-乙基-N,N-二甲基-1-十六烷铵4-氯-3,...  N-乙基-N,N-二甲基-1-十六烷铵2-联苯醇酸...  N-乙基-N,N-二甲基-1-十六烷铵苯酚  钾钠1-氨基-4-[(2-羧基-5-{[2-(磺酸...  4-[(4-丁氧基苯基)氨基]苯磺酰胺  铵钠5-甲氧基-4-({2-[(2-甲氧基-5-甲...