基本信息
| 产品名称 |
(4alpha,6beta)-16-羟基-12,13-环氧单端孢霉-9-烯-4-基(2Z,4E,7S)-6,7-二羟基-2,4-辛二烯酸酯 |
| 英文名 |
(4alpha,6beta)-16-Hydroxy-12,13-epoxytrichothec-9-en-4-yl (2Z,4E,7S)-6,7-dihydroxy-2,4-octadienoate |
| 别名 |
16-Hydroxytrichodermadienediol A; Trichothec-9-ene-4,16-diol, 12,13-epoxy-, 4-(6,7-dihydroxy-2,4-octadienoate), (4β(2Z,4E,6S,7S))- |
|
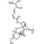
| 分子结构 |
 |
| 分子式 |
C23H32O7 |
| 分子量 |
420.50 |
| CAS 登录号 |
86004-56-0 |
| 分子行输入简码 SMILES |
O=C(O[C@H]3[C@@]2([C@]4([C@H](O[C@@H]([C@]21OC1)C3)/C=C(/CO)CC4)C)C)/C=C\C=C\C(O)[C@@H](O)C |
| 国际化学标识码 InChI |
1S/C23H32O7/c1-14(25)16(26)6-4-5-7-20(27)30-18-11-19-23(13-28-23)22(18,3)21(2)9-8-15(12-24)10-17(21)29-19/h4-7,10,14,16-19,24-26H,8-9,11-13H2,1-3H3/b6-4+,7-5-/t14-,16?,17+,18+,19+,21+,22+,23-/m0/s1 |
| 国际化学标识检索码 InChIKey |
VOMLNLQETZSQIE-KMDHFNGNSA-N |
|