Identification
| Name |
1-palmitoyl-2-(10-(4-((trifluoromethyl)diazirinyl)phenyl)-8-oxadecanoyl)-sn-glycero-3-phosphocholine |
| Synonyms |
1-Palmitoyl-2-(10-(4-((trifluoromethyl)diazirinyl)phenyl)-8-oxadecanoyl)-sn-glycero-3-phosphocholine; 3,5,8,16-Tetraoxa-4-phosphaoctadecan-17-t-1-aminium, 4-hydroxy-N,N,N-trimethyl-9-oxo-7-(((1-oxohexadecyl)oxy)methyl)-18-(4-(3-(trifluoromethyl)-3H-diazirin-3-yl)phenyl)-, hydroxide, inner salt, 4-oxide |
|
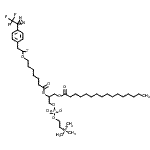
| Molecular Structure |
 |
| Molecular Formula |
C41H68TF3N3O9P |
| Molecular Weight |
837.98 |
| CAS Registry Number |
86013-84-5 |
| SMILES |
[O-]P(=O)(OCC[N+](C)(C)C)OCC(OC(=O)CCCCCCOC([3H])Cc1ccc(cc1)C\2(/N=N/2)C(F)(F)F)COC(=O)CCCCCCCCCCCCCCC |
| InChI |
1S/C41H69F3N3O9P/c1-5-6-7-8-9-10-11-12-13-14-15-16-19-22-38(48)53-33-37(34-55-57(50,51)54-32-29-47(2,3)4)56-39(49)23-20-17-18-21-30-52-31-28-35-24-26-36(27-25-35)40(45-46-40)41(42,43)44/h24-27,37H,5-23,28-34H2,1-4H3/i31T |
| InChIKey |
GOVKLKKLYMXKNS-ZCSGCDBXSA-N |
|