Online Database of Chemicals from Around the World

1,2-乙烷二基二(氧基-2,1-乙二基)二(2-甲基丙烯酸酯)-2,2-丙烷二基二(4,1-亚苯基氧基-2-羟基-3,1-丙烷二基)二(2-甲基丙烯酸酯)(1:1)
[CAS# 86159-08-2]

供应商
CAS#: 86159-08-2
产品: 1,2-乙烷二基二(氧基-2,1-乙二基)二(2-甲基丙烯酸酯)-2,2-丙烷二基二(4,1-亚苯基氧基-2-羟基-3,1-丙烷二基)二(2-甲基丙烯酸酯)(1:1)
暂时没有厂家供应该产品。
基本信息
产品名称 1,2-乙烷二基二(氧基-2,1-乙二基)二(2-甲基丙烯酸酯)-2,2-丙烷二基二(4,1-亚苯基氧基-2-羟基-3,1-丙烷二基)二(2-甲基丙烯酸酯)(1:1)
英文名 1,2-Ethanediylbis(oxy-2,1-ethanediyl) bis(2-methylacrylate) - 2,2-propanediylbis(4,1-phenyleneoxy-2-hydroxy-3,1-propanediyl) bis(2-methylacrylate) (1:1)
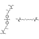
分子结构 CAS 登录号:86159-08-2, 1,2-乙烷二基二(氧基-2,1-乙二基)二(2-甲基丙烯酸酯)-2,2-丙烷二基二(4,1-亚苯基氧基-2-羟基-3,1-丙烷二基)二(2-甲基丙烯酸酯)(1:1)
分子式 C43H58O14
分子量 798.91
CAS 登录号 86159-08-2
分子行输入简码 SMILES O=C(OCCOCCOCCOC(=O)\C(=C)C)\C(=C)C.O=C(OCC(O)COc1ccc(cc1)C(c2ccc(OCC(O)COC(=O)\C(=C)C)cc2)(C)C)\C(=C)C
国际化学标识码 InChI 1S/C29H36O8.C14H22O6/c1-19(2)27(32)36-17-23(30)15-34-25-11-7-21(8-12-25)29(5,6)22-9-13-26(14-10-22)35-16-24(31)18-37-28(33)20(3)4;1-11(2)13(15)19-9-7-17-5-6-18-8-10-20-14(16)12(3)4/h7-14,23-24,30-31H,1,3,15-18H2,2,4-6H3;1,3,5-10H2,2,4H3
国际化学标识检索码 InChIKey SXMUXFDPJBTNRM-UHFFFAOYSA-N
物理化学性质
沸点 670.3°C at 760 mmHg (计算值)
闪点 214.6°C (计算值)
市场分析报告
请浏览1,2-乙烷二基二(氧基-2,1-乙二基)二(2-甲基丙烯酸酯)-2,2-丙烷二基二(4,1-亚苯基氧基-2-羟基-3,1-丙烷二基)二(2-甲基丙烯酸酯)(1:1)市场分析报告总目录
相关产品
3-(3-甲氧基-4-硝基-1,2-恶唑-5-基)...  N2-(乙氧羰基)缬氨酰胺  1:2-(氯甲基)环氧乙烷,甲醛,苯酚  N-(3-甲基-2-氧代-3-氮杂环丁基)苯甲酰胺  3-(1H-咪唑-4-基)-2-甲氧基丙酸  乙基4-氧代-2-硫代-1-咪唑烷羧酸酯  乙基2,4-二氧代-1-咪唑烷羧酸酯  1-[(2-氧代-2,3-二氢-1H-咪唑-4-基...  1,2-二吖丁啶-3,4-二酮  乙基2,5-二氧代-1-咪唑烷羧酸酯  2-氯-N-(4-甲基苯基)丁酰胺  2-氨基-2-甲基-1-苯基-1-丁酮  甘氨酰异缬氨酸  2,2'-(1,2-肼二基)二(氧代乙酸)  4-甲基-6-硝基-1H-苯并咪唑