Online Database of Chemicals from Around the World

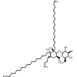
(2R,3R,4S,5S,6R)-2-{[(2R,3R,4R,5R,6R)-4,5-二(十六烷氧基)-4,5-二羟基-2-(羟基甲基)-6-丙氧基四氢-2H-吡喃-3-基]氧基}-6-(羟基甲基)四氢-2H-吡喃-3,4,5-三醇
[CAS# 86363-41-9]

供应商
CAS#: 86363-41-9
产品: (2R,3R,4S,5S,6R)-2-{[(2R,3R,4R,5R,6R)-4,5-二(十六烷氧基)-4,5-二羟基-2-(羟基甲基)-6-丙氧基四氢-2H-吡喃-3-基]氧基}-6-(羟基甲基)四氢-2H-吡喃-3,4,5-三醇
暂时没有厂家供应该产品。
基本信息
产品名称 (2R,3R,4S,5S,6R)-2-{[(2R,3R,4R,5R,6R)-4,5-二(十六烷氧基)-4,5-二羟基-2-(羟基甲基)-6-丙氧基四氢-2H-吡喃-3-基]氧基}-6-(羟基甲基)四氢-2H-吡喃-3,4,5-三醇
英文名 (2R,3R,4S,5S,6R)-2-{[(2R,3R,4R,5R,6R)-4,5-Bis(hexadecyloxy)-4,5-dihydroxy-2-(hydroxymethyl)-6-propoxytetrahydro-2H-pyran-3-yl]oxy}-6-(hydroxymethyl)tetrahydro-2H-pyran-3,4,5-triol
别名 1,2-Dihexadecyl-3-O-β-D-maltosyl-sn-glycerol; 1,2-Dihexadecyl-3-O-β-maltosylglycerol
分子结构 CAS 登录号:86363-41-9, (2R,3R,4S,5S,6R)-2-{[(2R,3R,4R,5R,6R)-4,5-二(十六烷氧基)-4,5-二羟基-2-(羟基甲基)-6-丙氧基四氢-2H-吡喃-3-基]氧基}-6-(羟基甲基)四氢-2H-吡喃-3,4,5-三醇
分子式 C47H92O13
分子量 865.23
CAS 登录号 86363-41-9
分子行输入简码 SMILES O([C@H]1[C@@](O)(OCCCCCCCCCCCCCCCC)[C@](O)(OCCCCCCCCCCCCCCCC)[C@H](OCCC)O[C@@H]1CO)[C@H]2O[C@@H]([C@@H](O)[C@H](O)[C@H]2O)CO
国际化学标识码 InChI 1S/C47H92O13/c1-4-7-9-11-13-15-17-19-21-23-25-27-29-31-34-56-46(53)43(60-44-42(52)41(51)40(50)38(36-48)58-44)39(37-49)59-45(55-33-6-3)47(46,54)57-35-32-30-28-26-24-22-20-18-16-14-12-10-8-5-2/h38-45,48-54H,4-37H2,1-3H3/t38-,39-,40-,41+,42-,43-,44-,45-,46-,47-/m1/s1
国际化学标识检索码 InChIKey ICPFATZBNGDABC-RUCMDWBXSA-N
物理化学性质
密度 1.115g/cm3 (计算值)
沸点 886.887°C at 760 mmHg (计算值)
闪点 490.171°C (计算值)
市场分析报告
请浏览(2R,3R,4S,5S,6R)-2-{[(2R,3R,4R,5R,6R)-4,5-二(十六烷氧基)-4,5-二羟基-2-(羟基甲基)-6-丙氧基四氢-2H-吡喃-3-基]氧基}-6-(羟基甲基)四氢-2H-吡喃-3,4,5-三醇市场分析报告总目录
相关产品
(1R,2R,5R,6R,10R,13S,15R)...  1H-吡唑并[3,4-b]喹喔啉  4-[(3-氰基丙基)氨基]苯甲酸  4-[(2-氨基-2-氧代乙基)氨基]苯甲酸  1-[(6aR,8R,9R,9aR)-9-(1,3...  2-(溴甲基)-4-喹啉甲腈  3,3,6,6-四甲基-2,5-吗啉二酮  3-(氯甲基)-5-(2-噻吩基)-1,2-恶唑  苯基(1H-吡唑-5-基)甲酮  3-[(3-氯丙基)硫基]-4-甲基-5-(4-甲...  2-甲基-2-丙基1-(4-溴苯基)-3-氮杂双环...  3-(3,4-二氢-2(1H)-异喹啉基)-1-丙...  (3-氰基-2-吡啶基)乙酸乙酯  2-甲基-2-丙基L-赖氨酰-L-色氨酰甘氨酰-L...  2-二十六烷基环氧乙烷