Online Database of Chemicals from Around the World

6,7-二氨基庚酸
[CAS# 875247-31-7]

供应商
深圳爱拓化学有限公司 中国 询价快递  
+86 13417589054//+86 13424336463
info@atomaxchem.com,atomax.chemicals@gmail.com,
QQ 交流
化学品生产商
基本信息
产品名称 6,7-二氨基庚酸
英文名 6,7-Diaminoheptanoic acid
别名 6,7-diaminoheptanoic acid
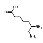
分子结构 CAS 登录号:875247-31-7, 6,7-二氨基庚酸
分子式 C7H16N2O2
分子量 160.21
CAS 登录号 875247-31-7
分子行输入简码 SMILES NC(CCCCC(O)=O)CN
国际化学标识码 InChI 1S/C7H16N2O2/c8-5-6(9)3-1-2-4-7(10)11/h6H,1-5,8-9H2,(H,10,11)
国际化学标识检索码 InChIKey GDGUHGLYYRTIJW-UHFFFAOYSA-N
物理化学性质
密度 1.094g/cm3 (计算值)
沸点 333.326°C at 760 mmHg (计算值)
闪点 155.39°C (计算值)
折射率 1.5 (计算值)
市场分析报告
请浏览6,7-二氨基庚酸市场分析报告总目录
相关产品
3-甲基-4-丙基-1,2-恶唑-5-胺  异丙基(3-甲基-1-戊炔-3-基)氨基甲酸  2-甲基-4-氧代-1,3-吡咯烷二甲酸  2,2-二甲基-3,5-二氧代-1-哌嗪羧酸  (3,4-二甲基-1-氧杂-4-氮杂螺[4.4]壬...  5-氨基-4-苯基-1,2-恶唑-3-羧酸  乙基(5E)-2,3-二甲基-5-(甲基亚胺)-2...  1-(2-氨基-5-氯-4-氟苯基)-2-氯乙酮  2-溴-6-碘-4-(三氟甲基)苯胺  7-(2,3-二羟基丙基)-1,3-二甲基-嘌呤-...  13'-羟基-6'-(羟基甲基)-14',26'-...  3-羟基-1-甲基-3-苯基-2-哌啶酮  3-甲氧基-3-苯基-2-哌啶酮  乙基3-甲氧基-2-氧代-3-苯基-1-哌啶羧酸酯  二苄基[(3-氧代-3H-螺[2-苯并呋喃-1,9...