Identification
| Name |
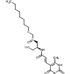
(2E)-N-[(2S)-1-Hydroxy-3-{(R)-[(octylsulfanyl)methyl]sulfinyl}-2-propanyl]-3-(6-methyl-2,4-dioxo-1,2,3,4-tetrahydro-5-pyrimidinyl)acrylamide |
| Synonyms |
1N-[2-hydroxy-1-octylsulfanylmethylsulfoxidemethyl-(1S)-ethyl]-3-(6-methyl-2,4-dioxo-1,2,3,4-tetrahydro-5-pyrimidinyl)-(E)-2-propenamide((Sc-Rs)-Octylsparsomycin); 2-Propenamide, N-(1-(hydroxymethyl)-2-(((octylthio)methyl)sulfinyl)ethyl)-3-(1,2,3,4-tetrahydro-6-methyl-2,4-dioxo-5-pyrimidinyl)-, (R-(R*,S*-(E)))- |
|
| Molecular Structure |
![CAS#: 88001-59-6, (2E)-N-[(2S)-1-Hydroxy-3-{(R)-[(octylsulfanyl)methyl]sulfinyl}-2-propanyl]-3-(6-methyl-2,4-dioxo-1,2,3,4-tetrahydro-5-pyrimidinyl)acrylamide](/moreStructures/88001-59-6.gif) |
| Molecular Formula |
C20H33N3O5S2 |
| Molecular Weight |
459.62 |
| CAS Registry Number |
88001-59-6 |
| SMILES |
O=C1N/C(=C(/C=C/C(=O)N[C@H](CS(=O)CSCCCCCCCC)CO)C(=O)N1)C |
| InChI |
1S/C20H33N3O5S2/c1-3-4-5-6-7-8-11-29-14-30(28)13-16(12-24)22-18(25)10-9-17-15(2)21-20(27)23-19(17)26/h9-10,16,24H,3-8,11-14H2,1-2H3,(H,22,25)(H2,21,23,26,27)/b10-9+/t16-,30+/m0/s1 |
| InChIKey |
CTSQVSMSXPYTMI-YDBINQNNSA-N |
|