| Alfa Chemistry | 美国 | 询价快递 | ||
|---|---|---|---|---|
![]() |
+1 (201) 478-8534 | |||
![]() |
inquiry@alfa-chemistry.com | |||
| 化学品供销商(2012 年起) | ||||
| chemBlink 标准供应商(2012 年起) | ||||
| Austin Chemical Company, Inc. | 美国 | 询价快递 | ||
|---|---|---|---|---|
![]() |
+1 (847) 520-9600 | |||
![]() |
info@austinchemical.com | |||
| 化学品生产商(1976 年起) | ||||
| BOC Sciences | 美国 | 询价快递 | ||
|---|---|---|---|---|
![]() |
+1 (631) 485-4226 | |||
![]() |
info@bocsci.com | |||
![]() |
Skype 聊天 | |||
| 化学品供销商 | ||||
| chemBlink 集群供应商(2012 年起) | ||||
| Boaopharma, Inc. | 美国 | 询价快递 | ||
|---|---|---|---|---|
![]() |
+1 (781) 491-0247 | |||
![]() |
info@boaopharma.com | |||
| 化学品生产商(2003 年起) | ||||
| International Laboratory Limited | 美国 | 询价快递 | ||
|---|---|---|---|---|
![]() |
+1 (650) 278-9963 | |||
![]() |
admin@intlab.org | |||
| 化学品生产商(2002 年起) | ||||
| 产品名称 | 1,6-二(2,5-二氧代-3-磺基-1-吡咯烷基)己二酸酯钠盐(1:2) |
|---|---|
| 英文名 | Hexanedioic Acid 1,6-Bis(2,5-Dioxo-3-Sulfo-1-Pyrrolidinyl) Ester Sodium Salt (1:2) |
| 别名 | BIS(SULFOSUCCINIMIDYL)ADIPATE SODIUM SALT |
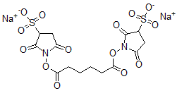
| 分子结构 | ![]() |
| 分子式 | C14H14N2Na2O14S2 |
| 分子量 | 544.38 |
| CAS 登录号 | 881415-69-6 |
| 分子行输入简码 SMILES | O=C(ON1C(=O)CC(C1=O)S(=O)(=O)[O-])CCCCC(=O)ON1C(=O)CC(C1=O)S(=O)(=O)[O-].[Na+].[Na+] |
| 国际化学标识码 InChI | 1S/C14H16N2O14S2.2Na/c17-9-5-7(31(23,24)25)13(21)15(9)29-11(19)3-1-2-4-12(20)30-16-10(18)6-8(14(16)22)32(26,27)28;;/h7-8H,1-6H2,(H,23,24,25)(H,26,27,28);;/q;2*+1/p-2 |
| 市场分析报告 |
| 请浏览1,6-二(2,5-二氧代-3-磺基-1-吡咯烷基)己二酸酯钠盐(1:2)市场分析报告总目录 |