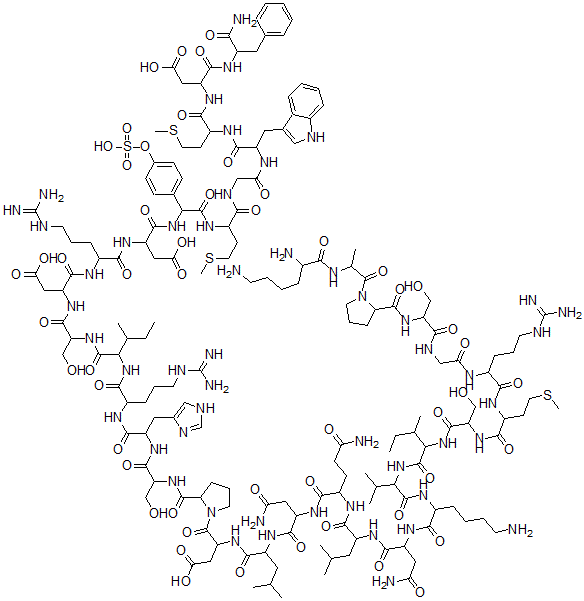
Identification
| Name |
Cholecystokinin |
| Synonyms |
Cholecystokinin; Cecekin Vitrum |
|
| Molecular Structure |
 |
| Molecular Formula |
C166H261N51O52S4 |
| Molecular Weight |
3931.44 |
| CAS Registry Number |
9011-97-6 (9012-22-0) |
| SMILES |
C1=CC=CC2=C1C(=C[NH]2)CC(C(NC(C(NC(C(NC(CC3=CC=CC=C3)C(N)=O)=O)CC(O)=O)=O)CCSC)=O)NC(CNC(C(NC(C(C4=CC=C(C=C4)O[S](O)(=O)=O)NC(C(NC(C(NC(C(NC(C(NC(C(NC(C(NC(C(CC5=C[NH]C=N5)NC(C(NC(C7N(C(C(NC(C(NC(C(NC(C(NC(C(NC(C(NC(C(NC(C(NC(C(NC(C(NC(C(NC(C(NC(CNC(C(NC( |
| InChI |
1S/C166H261N51O52S4/c1-15-84(9)130(159(261)211-116(78-220)154(256)206-110(68-125(227)228)150(252)191-97(38-27-54-182-165(176)177)139(241)205-112(70-127(231)232)152(254)215-132(88-42-44-91(45-43-88)269-273(266,267)268)161(263)197-100(48-58-270-12)135(237)1 |
| InChIKey |
QFLBZJPOIZFFJQ-UHFFFAOYSA-N |
|