基本信息
| 产品名称 |
替考拉宁 A2-4 |
| 英文名 |
Teicoplanin A2-4 |
| 别名 |
Brn 6261978; Teichomycin A(Sub 2) Factor 4; Teichomycin A2-4 |
|
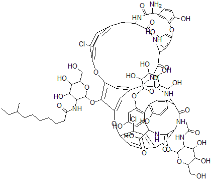
| 分子结构 |
 |
| 分子式 |
C89H99Cl2N9O33 |
| 分子量 |
1893.71 |
| CAS 登录号 |
91032-37-0 |
| 分子行输入简码 SMILES |
[C@@H]2(C%13=C(C1=C(C=CC(=C1)[C@@H]8C(N[C@H](C(N2)=O)[C@@H](C3=CC(=C(C=C3)OC4=CC7=CC(=C4O[C@@H]5O[C@@H]([C@H]([C@@H]([C@H]5NC(CCCCCCC(CC)C)=O)O)O)CO)OC6=CC=C(C=C6Cl)C[C@@H]%11C(N[C@H](C(N[C@H]7C(N8)=O)=O)C9=CC(=CC(=C9)OC%10=C(C=CC(=C%10)[C@@H](C(N%11)=O)N |
| 国际化学标识码 InChI |
1S/C89H99Cl2N9O33/c1-4-34(2)9-7-5-6-8-10-61(109)95-69-75(114)72(111)59(32-102)130-88(69)133-79-56-26-41-27-57(79)127-53-18-14-39(24-48(53)91)78(132-87-68(93-35(3)104)74(113)71(110)58(31-101)129-87)70-85(122)99-67(86(123)124)46-29-43(106)30-55(128-89-77(11 |
| 国际化学标识检索码 InChIKey |
KSPOYQQCANXEDC-CKUVJKMYSA-N |
|