基本信息
| 产品名称 |
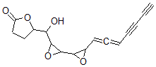
4,5-二氢-5-(2,3:4,5-二环氧-1-羟基十二碳-6,7-二烯-9,11-二炔基)-2(3H)-呋喃酮 |
| 英文名 |
4,5-Dihydro-5-(2,3:4,5-diepoxy-1-hydroxydodeca-6,7-dien-9,11-diynyl)-2(3H)-furanone |
| 别名 |
5-[[3-(3-Hepta-1,2-Dien-4,6-Diynyloxiran-2-Yl)Oxiran-2-Yl]-Hydroxy-Methyl]Tetrahydrofuran-2-One; 5-[[3-(3-Hepta-1,2-Dien-4,6-Diynyl-2-Oxiranyl)-2-Oxiranyl]-Hydroxymethyl]-2-Tetrahydrofuranone; 5-[[3-(3-Hepta-1,2-Dien-4,6-Diynyloxiran-2-Yl)Oxiran-2-Yl]-Hydro |
|
| 分子结构 |
 |
| 分子式 |
C16H14O5 |
| 分子量 |
286.28 |
| CAS 登录号 |
91682-94-9 |
| 分子行输入简码 SMILES |
O=C3OC(C(C2C(C1C(O1)[CH]=[C]=[CH]C#CC#C)O2)O)CC3 |
| 国际化学标识码 InChI |
1S/C16H14O5/c1-2-3-4-5-6-7-11-14(20-11)16-15(21-16)13(18)10-8-9-12(17)19-10/h1,5,7,10-11,13-16,18H,8-9H2 |
| 国际化学标识检索码 InChIKey |
JMBCDSUOYMQCGL-UHFFFAOYSA-N |
|