Online Database of Chemicals from Around the World

Tpp-Sp-G
[CAS# 92067-82-8]

供应商
CAS#: 92067-82-8
产品: Tpp-Sp-G
暂时没有厂家供应该产品。
基本信息
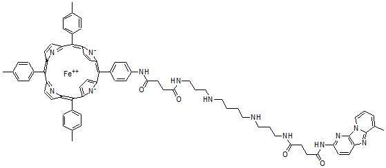
产品名称 Tpp-Sp-G
英文名 Tpp-Sp-G
别名 Iron, (N-(6-Methyldipyrido(1,2-A:3',2'-D)Imidazol-2-Yl)-4,19-Dioxo-N'-(4-(10,15,20-Tris(4-Methylphenyl)-21H,23H-Porphin-5-Yl)Phenyl)-5,9,14,18-Tetraazadocosanediamidato(2-)-N21,N22,N23,N24)-, (Sp-4-2)-
分子结构 CAS 登录号:92067-82-8, Tpp-Sp-G
分子式 C76H75FeN13O4
分子量 1290.36
CAS 登录号 92067-82-8
分子行输入简码 SMILES [N-]1C2=CC=C1C(=C8C=CC(=C(C6=NC(=C(C4=NC(=C2C3=CC=C(C=C3)C)C=C4)C5=CC=C(C=C5)C)C=C6)C7=CC=C(C=C7)C)[N-]8)C9=CC=C(C=C9)NC(CCC(=O)NCCCNCCCCNCCCNC(CCC(NC%12=NC%10=C(N=C%11C(=CC=C[N]%10%11)C)C=C%12)=O)=O)=O.[Fe++]
国际化学标识码 InChI 1S/C76H77N13O4.Fe/c1-48-11-17-52(18-12-48)71-57-27-29-59(82-57)72(53-19-13-49(2)14-20-53)61-31-33-63(84-61)74(64-34-32-62(85-64)73(60-30-28-58(71)83-60)54-21-15-50(3)16-22-54)55-23-25-56(26-24-55)81-69(92)39-37-67(90)79-45-8-43-77-41-5-6-42-78-44-9-46-80-
国际化学标识检索码 InChIKey ZKZLQMRCQNDXLJ-UHFFFAOYSA-L
市场分析报告
请浏览Tpp-Sp-G市场分析报告总目录
相关产品
罗曲酸  (4,4,5,5,6,6,7,7,8,8,9,9,...  1-甲氧基-1,3,5,7-壬四烯  1-甲氧基-1,3,5,7,9-十一碳五烯  1-环氧乙烷基芘  omega-芋螺毒素 gvia  (E)-乙烷重氮酸钾盐  3,5-二苯基吡啶  2'-羟基-5'-苯基苯丙酮  3-(2,3-二氢-1H-吲哚-1-基)苄基甲基胺  N-[2-[(4-氨基间甲苯基)乙基氨基]乙基]甲...  2,4-二羟基二苯甲酮  Hem-2G  N,N-二甲基-2-丁基胺  苄基(2-氯乙基)(2-甲氧基羰基乙基)氯化铵