Online Database of Chemicals from Around the World

单-2-O-(P-甲苯磺酰基)-alpha-环糊精
[CAS# 93184-10-2]

供应商
International Laboratory Limited 美国 询价快递  
+1 (650) 278-9963
admin@intlab.org
化学品生产商(2002 年起)
基本信息
产品分类 化学试剂 >> 有机试剂 >> 环糊精
产品名称 单-2-O-(P-甲苯磺酰基)-alpha-环糊精
英文名 Mono-2-O-(P-Toluenesulfonyl)-alpha-Cyclodextrin
别名 Mono-2-O-(p-toluenesulfonyl)-α-cyclodextrin
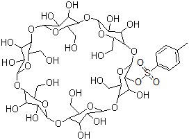
分子结构 CAS 登录号:93184-10-2, 单-2-O-(P-甲苯磺酰基)-alpha-环糊精
分子式 C45H74O32S
分子量 1159.11
CAS 登录号 93184-10-2
分子行输入简码 SMILES Cc1ccc(cc1)S(=O)(=O)O[C@@H]2[C@H]([C@H]3[C@H](O[C@@H]2O[C@@H]4[C@H](O[C@@H]([C@@H]([C@H]4O)O)O[C@@H]5[C@H](O[C@@H]([C@@H]([C@H]5O)O)O[C@@H]6[C@H](O[C@@H]([C@@H]([C@H]6O)O)O[C@@H]7[C@H](O[C@@H]([C@@H]([C@H]7O)O)O[C@@H]8[C@H](O[C@H](O3)[C@@H]([C@H]8O)O)C)CO)CO)CO)C)CO)O.CO.CO
国际化学标识码 InChI 1S/C43H66O30S.2CH4O/c1-12-4-6-15(7-5-12)74(59,60)73-37-30(58)36-19(11-47)66-43(37)68-32-14(3)62-38(26(54)21(32)49)69-33-16(8-44)64-41(28(56)23(33)51)71-35-18(10-46)65-42(29(57)24(35)52)70-34-17(9-45)63-40(27(55)22(34)50)67-31-13(2)61-39(72-36)25(53)20(31)48;2*1-2/h4-7,13-14,16-58H,8-11H2,1-3H3;2*2H,1H3/t13-,14-,16-,17-,18-,19-,20-,21-,22-,23-,24-,25-,26-,27-,28-,29-,30+,31-,32-,33-,34-,35-,36-,37-,38-,39-,40-,41-,42-,43-;;/m1../s1
国际化学标识检索码 InChIKey WIMDFCYQPLXCOO-BXNCUBADSA-N
安全数据
SDS 化学品安全技术说明书参考文本
市场分析报告
请浏览单-2-O-(P-甲苯磺酰基)-alpha-环糊精市场分析报告总目录
相关产品
2-(苄基硫基)-6-氧代-1,6-二氢-5-嘧啶...  3-氯-N-[2-(1H-吲哚-3-基)乙基]丙酰...  [(2-甲基-1H-吲哚-3-基)硫基]乙酸乙酯  3-(苯胺基甲基)苯酚  N-(7-甲氧基-1-萘基)乙酰胺  2-甲基-1H-苯并咪唑-6-甲酰胺  1,3-二甲基吡啶并[3,4-b]吡嗪-2(1H)...  2-(2-戊烷基)-1,3-苯并噻唑  2-(3-戊烷基)-1,3-苯并噻唑  1-[(3S,4S)-4-羟基四氢-3-噻吩基]乙...  1-[(3S,4R)-4-羟基四氢-3-噻吩基]乙...  6-氟-2-(三氟甲基)-1H-吲哚  2-乙基-1H-咪唑并[4,5-f]喹啉  5-(氯乙酰基)-1,3-二氢-2H-苯并咪唑-2...  5-丙酰基-1,3-二氢-2H-苯并咪唑-2-酮