Online Database of Chemicals from Around the World

(N-叔丁基氧基羰基-半胱氨酰-甘氨酰-半胱氨酰-甲基酰胺)二聚体
[CAS# 93629-01-7]

供应商
CAS#: 93629-01-7
产品: (N-叔丁基氧基羰基-半胱氨酰-甘氨酰-半胱氨酰-甲基酰胺)二聚体
暂时没有厂家供应该产品。
基本信息
产品名称 (N-叔丁基氧基羰基-半胱氨酰-甘氨酰-半胱氨酰-甲基酰胺)二聚体
英文名 (N-Tertert-Butyloxycarbonyl-Cysteinyl-Alanyl-Cysteinyl-Methylamide) dimer
别名 Tert-Butyl N-[(1R)-2-[[(1S)-2-[[(2R)-2-[[(E)-2-[[(1R)-2-[[(2S)-2-[[(2R)-2-(Tert-Butoxycarbonylamino)-3-Sulfanyl-Propanoyl]Amino]Propanoyl]Amino]-2-Oxo-1-(Sulfanylmethyl)Ethyl]Amino]Vinyl]Amino]-3-Sulfanyl-Propanoyl]Amino]-1-Methyl-2-Oxo-Ethyl]Amino]-2-Oxo
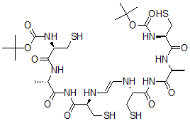
分子结构 CAS 登录号:93629-01-7, (N-叔丁基氧基羰基-半胱氨酰-甘氨酰-半胱氨酰-甲基酰胺)二聚体
分子式 C30H52N8O10S4
分子量 813.03
CAS 登录号 93629-01-7
分子行输入简码 SMILES [C@H](C(=O)NC([C@@H](NC([C@@H](NC(=O)OC(C)(C)C)CS)=O)C)=O)(N\C=C\N[C@H](C(=O)NC([C@@H](NC([C@@H](NC(=O)OC(C)(C)C)CS)=O)C)=O)CS)CS
国际化学标识码 InChI 1S/C30H52N8O10S4/c1-15(33-25(43)19(13-51)35-27(45)47-29(3,4)5)21(39)37-23(41)17(11-49)31-9-10-32-18(12-50)24(42)38-22(40)16(2)34-26(44)20(14-52)36-28(46)48-30(6,7)8/h9-10,15-20,31-32,49-52H,11-14H2,1-8H3,(H,33,43)(H,34,44)(H,35,45)(H,36,46)(H,37,39,41)(H,
国际化学标识检索码 InChIKey MIFZWADRSJYAIG-ZYFOSHLLSA-N
物理化学性质
密度 1.278g/cm3 (计算值)
沸点 1019.139°C at 760 mmHg (计算值)
闪点 570.155°C (计算值)
市场分析报告
请浏览(N-叔丁基氧基羰基-半胱氨酰-甘氨酰-半胱氨酰-甲基酰胺)二聚体市场分析报告总目录
相关产品
(7'R)-3'-(乙酰氧基)-7'-去氧代-2'...  4-苯基异噻唑  N-[(2-甲氧基萘-1-基)甲亚基氨基]-2,4...  3-[2-(十二烷基氧基)乙氧基]丙基胺  5-[(2,4-二羟基苯基)偶氮]萘-1-磺酸  (Z)-N,N-双(2-羟基乙基)二十二碳-13-...  4-羟基-6-甲氧基-2-苯基-3-喹啉羧酸乙酯  6-氯-4-羟基-2-苯基-3-喹啉羧酸乙酯  奈莫必利  (1S,2S,3R,4S,5S,6R)-1,2,3...  精氨酰-甘氨酰-谷氨酰-丝氨酸  精氨酰-甘氨酰-天冬氨酰-丙氨酸  聚(精氨酰-甘氨酰-天冬氨酰-苏氨酸)  谷氨酰-天冬氨酰胺酰-脯氨酰-丝氨酰-谷氨酰胺酰-...  2,3-去氢可卡因