基本信息
| 产品名称 |
促肾上腺皮质激素释放激素 (9-41) |
| 英文名 |
Corticotropin Releasing Hormone (9-41) |
| 别名 |
Corticotropin Releasing Factor (9-41); Corticotropin Releasing Hormone (9-41); Crf(9-41) |
|
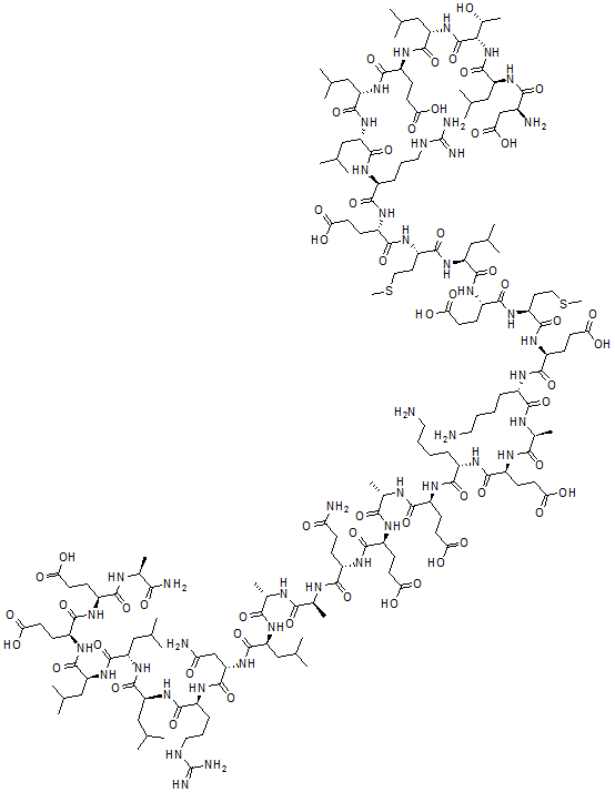
| 分子结构 |
 |
| 分子式 |
C165H282N44O56S2 |
| 分子量 |
3842.42 |
| CAS 登录号 |
96118-75-1 |
| 分子行输入简码 SMILES |
[C@@H](N)(C(=O)N[C@H](C(=O)N[C@H](C(=O)N[C@H](C(=O)N[C@H](C(=O)N[C@H](C(=O)N[C@H](C(=O)N[C@H](C(=O)N[C@H](C(=O)N[C@H](C(=O)N[C@H](C(=O)N[C@H](C(=O)N[C@H](C(=O)N[C@H](C(=O)N[C@H](C(=O)N[C@@H](C)C(=O)N[C@H](C(=O)N[C@H](C(=O)N[C@H](C(=O)N[C@@H](C)C(=O)N[C@H] |
| 国际化学标识码 InChI |
1S/C165H282N44O56S2/c1-76(2)65-108(157(259)207-117(75-119(170)212)161(263)188-95(36-32-62-177-165(174)175)143(245)201-112(69-80(9)10)158(260)206-114(71-82(13)14)160(262)205-111(68-79(7)8)155(257)194-103(44-54-126(225)226)147(249)191-97(38-48-120(213)214)1 |
| 国际化学标识检索码 InChIKey |
MMSLSKDMIZOHRX-WYDAWZGFSA-N |
|