基本信息
| 产品名称 |
苯基甘氨酰-环(半胱氨酰-酪氨酰色氨酰-赖氨酰-苏氨酰-青霉胺)苏氨酰胺 |
| 英文名 |
Phenylalanyl-Cyclo(Cysteinyl-Tyrosyltryptophyl-Lysyl-Threonyl-Penicillamine)Threoninamide |
| 别名 |
10-(4-Aminobutyl)-19-[(2-Amino-3-Phenyl-Propanoyl)Amino]-N-(1-Carbamoyl-2-Hydroxy-Propyl)-7-(1-Hydroxyethyl)-16-[(4-Hydroxyphenyl)Methyl]-13-(1H-Indol-2-Ylmethyl)-3,3-Dimethyl-6,9,12,15,18-Pentaoxo-1,2-Dithia-5,8,11,14,17-Pentazacycloicosane-4-Carboxamide |
|
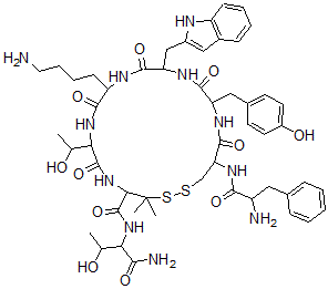
| 分子结构 |
 |
| 分子式 |
C51H69N11O11S2 |
| 分子量 |
1076.29 |
| CAS 登录号 |
96384-03-1 |
| 分子行输入简码 SMILES |
C1=C([NH]C2=C1C=CC=C2)CC4NC(=O)C(NC(=O)C(NC(=O)C(N)CC3=CC=CC=C3)CSSC(C(NC(=O)C(NC(=O)C(NC4=O)CCCCN)C(O)C)C(=O)NC(C(=O)N)C(O)C)(C)C)CC5=CC=C(O)C=C5 |
| 国际化学标识码 InChI |
1S/C51H69N11O11S2/c1-27(63)40(43(54)66)60-50(73)42-51(3,4)75-74-26-39(59-44(67)34(53)22-29-12-6-5-7-13-29)48(71)57-37(23-30-17-19-33(65)20-18-30)46(69)58-38(25-32-24-31-14-8-9-15-35(31)55-32)47(70)56-36(16-10-11-21-52)45(68)61-41(28(2)64)49(72)62-42/h5-9, |
| 国际化学标识检索码 InChIKey |
MOBFVGBRZZZQHB-UHFFFAOYSA-N |
|