Online Database of Chemicals from Around the World

胞苷单磷酸酯-N-羟基乙酰基神经氨酸
[CAS# 98300-80-2]

供应商
CAS#: 98300-80-2
产品: 胞苷单磷酸酯-N-羟基乙酰基神经氨酸
暂时没有厂家供应该产品。
基本信息
产品名称 胞苷单磷酸酯-N-羟基乙酰基神经氨酸
英文名 Cytidine Monophosphate-N-Glycoloylneuraminic Acid
别名 (2R,4S,5R,6R)-2-[[(2R,3S,4R)-5-(4-Amino-2-Oxo-Pyrimidin-1-Yl)-3,4-Dihydroxy-Tetrahydrofuran-2-Yl]Methoxy-Hydroxy-Phosphoryl]Oxy-4-Hydroxy-5-[(2-Hydroxyacetyl)Amino]-6-[(1R,2R)-1,2,3-Trihydroxypropyl]Tetrahydropyran-2-Carboxylic Acid; (2R,4S,5R,6R)-2-[[(2R,
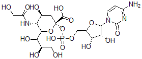
分子结构 CAS 登录号:98300-80-2, 胞苷单磷酸酯-N-羟基乙酰基神经氨酸
分子式 C20H31N4O17P
分子量 630.46
CAS 登录号 98300-80-2
分子行输入简码 SMILES N3(C1O[C@@H]([C@@H](O)[C@H]1O)CO[P](O[C@@]2(O[C@H]([C@H](NC(=O)CO)[C@@H](O)C2)[C@H](O)[C@H](O)CO)C(=O)O)(=O)O)C(=O)N=C(N)C=C3
国际化学标识码 InChI 1S/C20H31N4O17P/c21-10-1-2-24(19(35)22-10)17-15(32)14(31)9(39-17)6-38-42(36,37)41-20(18(33)34)3-7(27)12(23-11(29)5-26)16(40-20)13(30)8(28)4-25/h1-2,7-9,12-17,25-28,30-32H,3-6H2,(H,23,29)(H,33,34)(H,36,37)(H2,21,22,35)/t7-,8+,9+,12+,13+,14+,15+,16+,17?,20+
国际化学标识检索码 InChIKey HOEWKBQADMRCLO-YKNQQZBYSA-N
物理化学性质
密度 2.09g/cm3 (计算值)
市场分析报告
请浏览胞苷单磷酸酯-N-羟基乙酰基神经氨酸市场分析报告总目录
相关产品
21-Mapb  4-(beta-赤式呋喃糖基)咪唑啉-2-硫酮  酪氨酰-蛋氨酰-O-甘氨酰-对硝基-苯丙氨酰-脯氨...  2,2-二甲基青霉烷砜  4-(氨基甲基)-7-甲基-2H-1-苯并吡喃-2...  5-甲基-6-(3-吡啶基)硫代吗啉-3-酮盐酸盐  3-[4-(3,6-二氢-4-苯基-1(2H)-吡...  3,7-二溴-10-乙基吩碲嗪  司那佐旦  6-(4-(4'-吡啶基)氨基苯基)-4,5-二氢...  (17beta)-雌甾-1,3,5(10)-三烯-...  3-(6-氧代-1,4,5,6-四氢哒嗪-3-基)...  7,9-二甲基-9ah-喹嗪-1,2,3,4-四羧...  3-氯-4-甲基苯磺酸  苯哌利多