基本信息
| 产品名称 |
22-O-甲基枝三烯菌素 II |
| 英文名 |
22-O-Methylmycotrienin II |
| 别名 |
2-[(Cyclohexyl-Oxomethyl)Amino]Propanoic Acid [(4E,10Z,12E,14E)-6,24-Dihydroxy-16,22-Dimethoxy-5,7-Dimethyl-18-Oxo-19-Azabicyclo[18.3.1]Tetracosa-1(24),4,10,12,14,20,22-Heptaen-8-Yl] Ester; 2-(Cyclohexanecarbonylamino)Propionic Acid [(4E,10Z,12E,14E)-6,24- |
|
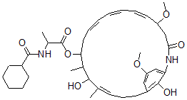
| 分子结构 |
 |
| 分子式 |
C37H52N2O8 |
| 分子量 |
652.83 |
| CAS 登录号 |
98873-82-6 |
| 分子行输入简码 SMILES |
CC3C(OC(=O)C(NC(=O)C1CCCCC1)C)C\C=C/C=C/C=C/C(OC)CC(=O)NC2=CC(=CC(=C2O)CC\C=C(C3O)/C)OC |
| 国际化学标识码 InChI |
1S/C37H52N2O8/c1-24-15-14-18-28-21-30(46-5)22-31(35(28)42)39-33(40)23-29(45-4)19-12-7-6-8-13-20-32(25(2)34(24)41)47-37(44)26(3)38-36(43)27-16-10-9-11-17-27/h6-8,12-13,15,19,21-22,25-27,29,32,34,41-42H,9-11,14,16-18,20,23H2,1-5H3,(H,38,43)(H,39,40)/b7-6+,1 |
| 国际化学标识检索码 InChIKey |
PEANSLAKPSVOFU-AUESDOCQSA-N |
|