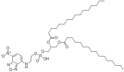
Identification
| Name |
N-4-Nitrobenzo-2-Oxa-1,3-Diazoledipalmitoyl Phosphatidylethanolamine |
| Synonyms |
[1-(Hexadecanoyloxymethyl)-2-[Hydroxy-[2-[(4-Nitro-2,1,3-Benzoxadiazol-7-Yl)Amino]Ethoxy]Phosphoryl]Oxy-Ethyl] Hexadecanoate; Hexadecanoic Acid [1-[[Hydroxy-[2-[(4-Nitro-2,1,3-Benzoxadiazol-7-Yl)Amino]Ethoxy]Phosphoryl]Oxymethyl]-2-(1-Oxohexadecoxy)Ethyl] |
|
| Molecular Structure |
 |
| Molecular Formula |
C43H75N4O11P |
| Molecular Weight |
855.06 |
| CAS Registry Number |
99684-86-3 |
| SMILES |
C2=C(C1=NON=C1C(=C2)[N+](=O)[O-])NCCO[P](OCC(COC(CCCCCCCCCCCCCCC)=O)OC(CCCCCCCCCCCCCCC)=O)(O)=O |
| InChI |
1S/C43H75N4O11P/c1-3-5-7-9-11-13-15-17-19-21-23-25-27-29-40(48)54-35-37(57-41(49)30-28-26-24-22-20-18-16-14-12-10-8-6-4-2)36-56-59(52,53)55-34-33-44-38-31-32-39(47(50)51)43-42(38)45-58-46-43/h31-32,37,44H,3-30,33-36H2,1-2H3,(H,52,53) |
| InChIKey |
ODWMPKRLTCWGFP-UHFFFAOYSA-N |
|