基本信息
| 产品名称 |
D-苯甘氨酰-L-半胱氨酰-L-苯甘氨酰-D-色氨酰-L-赖氨酰-L-苏氨酰-L-半胱氨酰-L-苏氨酰胺 环 (2-7)-二硫醚 |
| 英文名 |
D-Phenylalanyl-L-Cycteingyl-L-Phenylalanyl-D-Tryptoph Yl-L-Lysyl-L-Threonyl-L-Cysteinyl-L-Threoninamide Cyclic (2-7)-Disulfide |
| 别名 |
10-(4-Aminobutyl)-19-[(2-Amino-3-Phenyl-Propanoyl)Amino]-N-(1-Carbamoyl-2-Hydroxy-Propyl)-7-(1-Hydroxyethyl)-13-(1H-Indol-3-Ylmethyl)-6,9,12,15,18-Pentaoxo-16-(Phenylmethyl)-1,2-Dithia-5,8,11,14,17-Pentazacycloicosane-4-Carboxamide; 10-(4-Aminobutyl)-19-[( |
|
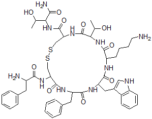
| 分子结构 |
 |
| 分子式 |
C49H65N11O10S2 |
| 分子量 |
1032.24 |
| CAS 登录号 |
99685-66-2 |
| 分子行输入简码 SMILES |
C1=C(C2=C([NH]1)C=CC=C2)CC4NC(=O)C(NC(=O)C(NC(=O)C(N)CC3=CC=CC=C3)CSSCC(NC(=O)C(NC(=O)C(NC4=O)CCCCN)C(O)C)C(=O)NC(C(=O)N)C(O)C)CC5=CC=CC=C5 |
| 国际化学标识码 InChI |
1S/C49H65N11O10S2/c1-27(61)40(42(52)63)59-48(69)39-26-72-71-25-38(57-43(64)33(51)21-29-13-5-3-6-14-29)47(68)55-36(22-30-15-7-4-8-16-30)45(66)56-37(23-31-24-53-34-18-10-9-17-32(31)34)46(67)54-35(19-11-12-20-50)44(65)60-41(28(2)62)49(70)58-39/h3-10,13-18,24 |
| 国际化学标识检索码 InChIKey |
SGYDRBBPYPDBRO-UHFFFAOYSA-N |
|