Online Database of Chemicals from Around the World

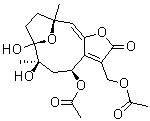
(4S,6R,7S,10R,11E)-4-(Acetyloxy)-3-[(acetyloxy)methyl]-5,6,7,8,9,10-hexahydro-6,7-dihydroxy-6,10-dimethyl-7,10-epoxycyclodeca[b]furan-2(4H)-one
[CAS# 101628-29-9]

Identification
Classification Natural product >> Sesquiter
Name (4S,6R,7S,10R,11E)-4-(Acetyloxy)-3-[(acetyloxy)methyl]-5,6,7,8,9,10-hexahydro-6,7-dihydroxy-6,10-dimethyl-7,10-epoxycyclodeca[b]furan-2(4H)-one
Molecular Structure CAS # 101628-29-9, (4S,6R,7S,10R,11E)-4-(Acetyloxy)-3-[(acetyloxy)methyl]-5,6,7,8,9,10-hexahydro-6,7-dihydroxy-6,10-dimethyl-7,10-epoxycyclodeca[b]furan-2(4H)-one
Molecular Formula C19H24O9
Molecular Weight 396.39
CAS Registry Number 101628-29-9
Properties
Solubility Soluble (48 g/L) (25 ºC), Calc.*
Density 1.40±0.1 g/cm3 (20 ºC 760 Torr), Calc.*
* Calculated using Advanced Chemistry Development (ACD/Labs) Software V11.02 (©1994-2014 ACD/Labs)
Market Analysis Reports
List of Reports Available for (4S,6R,7S,10R,11E)-4-(Acetyloxy)-3-[(acetyloxy)methyl]-5,6,7,8,9,10-hexahydro-6,7-dihydroxy-6,10-dimethyl-7,10-epoxycyclodeca[b]furan-2(4H)-one
Related Products
3-Acetyl-2-oxazolidinone  5-Acetyloxindole  N'-[3-Acetyl-4-(oxiranylmethoxy)phenyl]-N,N-diethylurea  3-Acetyl-4-oxopentanoic acid ethyl ester  1-Acetyl-4-oxo-3-piperidinecarboxylic acid methyl ester  1-Acetyl-4-oxo-L-proline  2-[(1-Acetyl-2-oxopropyl)thio]-N-cyclohexyl-1H-benzimidazole-1-carboxamide  N-[2-(Acetyloxy)acetyl]-2-O-(4-nitrophenyl)-alpha-neuraminic acid methyl ester 4,7,8,9-tetraacetate  4-(Acetyloxy)-3-[(acetyloxy)methyl]-2-butanone  (3aR,4S,5R,6aS)-5-(Acetyloxy)-4-[(acetyloxy)methyl]hexahydro-2H-cyclopenta[b]furan-2-one  1-[(3beta,17beta)-3-(Acetyloxy)androst-5-en-17-yl]-3-phenyl-2-propen-1-one  (3beta,15alpha,23R,24S)-23-(Acetyloxy)-3-(alpha-L-arabinopyranosyloxy)-24,25-epoxy-15-hydroxy-9,19-cyclolanostan-16-one  (3beta)-3-(Acetyloxy)-17-(1H-benzimidazol-1-yl)androsta-5,16-diene-16-carboxaldehyde  2-(Acetyloxy)benzoic acid mix with 3,7-Dihydro-1,3,7-trimethyl-1H-purine-2,6-dione and N,N-Dimethyl-2-[(2-methylphenyl)phenylmethoxy]ethanamine 2-Hydroxy-1,2,3-propanetricarboxylate  2-(Acetyloxy)benzoic acid polymer with 2-hydroxybenzoic acid  (4R,5S,6S)-5-(Acetyloxy)-4-(benzoyloxy)-6-[(benzoyloxy)methyl]-6-hydroxy-2-cyclohexen-1-one  [2aR-(2aalpha,4beta,4abeta,6beta,9alpha,11alpha,12alpha,12aalpha,12balpha)]-12b-(Acetyloxy)-12-(benzoyloxy)-1,2a,3,4,4a,6,9,10,11,12,12a,12b-dodecahydro-4,9,11-trihydroxy-6-methoxy-4a,8,13,13-tetramethyl-7,11-methano-5H-cyclodeca[3,4]benz[1,2-b]oxet-5-one  2'-(Acetyloxy)-[1,1'-biphenyl]-2-carboxylic acid 4-(acetylamino)phenyl ester  (2R)-2-(Acetyloxy)-N-[(1S,2S,3R)-2,3-bis(acetyloxy)-1-[(acetyloxy)methyl]heptadecyl]tetracosanamide  2-(Acetyloxy)-N,N-bis[2-(acetyloxy)ethyl]propanamide