Online Database of Chemicals from Around the World

Evernimicin
[CAS# 109545-84-8]

List of Suppliers
BOC Sciences USA Inquire  
+1 (631) 485-4226
info@bocsci.com
Chemical manufacturer
chemBlink standard supplier since 2010
Complete supplier list of Evernimicin
Identification
Classification API >> Antibiotics
Name Evernimicin
Synonyms Everninomicin; Everninomicin 13384-1; Sch 27899; Ziracin; 56-deacetyl-57-demethyl-45-O-de(2-methyl-1-oxopropyl)-12-O-(2,3,6-trideoxy-3-C-methyl-4-O-methyl-3-nitro-alpha-L-arabino-hexopyranosyl)flambamycin 56-(2,4-dihydroxy-6-methylbenzoate)
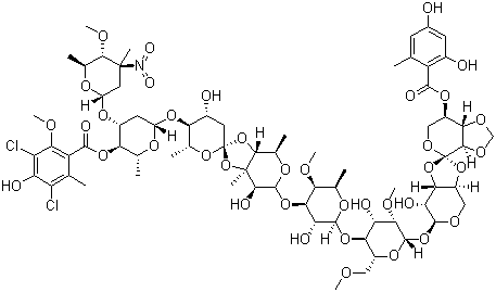
Molecular Structure CAS # 109545-84-8, Evernimicin, Everninomicin, Everninomicin 13384-1, Sch 27899, Ziracin, 56-deacetyl-57-demethyl-45-O-de(2-methyl-1-oxopropyl)-12-O-(2,3,6-trideoxy-3-C-methyl-4-O-methyl-3-nitro-alpha-L-arabino-hexopyranosyl)flambamycin 56-(2,4-dihydroxy-6-methylbenzoate)
Molecular Formula C70H97Cl2NO38
Molecular Weight 1631.41
CAS Registry Number 109545-84-8
Properties
Density 1.55
Market Analysis Reports
List of Reports Available for Evernimicin
Related Products
Ezatiostat hydrochloride  Ezetimibe  Ezetimibe-d4  Ezetimibe Dehydroxy Impurity  Ezetimibe 3-Dehydroxy Impurity  Eutropoflavin  Eutylone hydrochloride  Euxanthone  Evacetrapib  Evening primrose oil  Everolimus  Everolimus EP Impurity B (Acid)  Everolimus Ring-Opening Impurity  Evobrutinib  Evocalcet Impurity 1  Evocarpine  Evodiamine  Evodine  Evodol  Evofolin B