Online Database of Chemicals from Around the World

Idremcinal
[CAS# 110480-13-2]

List of Suppliers
Alfa Chemistry USA Inquire  
+1 (201) 478-8534
inquiry@alfa-chemistry.com
Chemical distributor since 2012
chemBlink standard supplier since 2012
Santa Cruz Biotechnology, Inc. USA Inquire  
+1 (831) 457-3800
scbt@scbt.com
Chemical manufacturer
Complete supplier list of Idremcinal
Identification
Classification API >> Hormone and endocrine-regulating drugs
Name Idremcinal
Synonyms 8,9-Didehydro-N-demethyl-9-deoxo-6-deoxy-6,9-epoxy-N-(1-methylethyl)-erythromycin
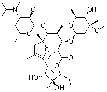
Molecular Structure CAS # 110480-13-2, Idremcinal, 8,9-Didehydro-N-demethyl-9-deoxo-6-deoxy-6,9-epoxy-N-(1-methylethyl)-erythromycin
Molecular Formula C39H69NO12
Molecular Weight 743.96
CAS Registry Number 110480-13-2
Properties
Solubility Slightly soluble (8.9 g/L) (25 ºC), Calc.*
Density 1.18±0.1 g/cm3 (20 ºC 760 Torr), Calc.*
* Calculated using Advanced Chemistry Development (ACD/Labs) Software V11.02 (©1994-2013 ACD/Labs)
Market Analysis Reports
List of Reports Available for Idremcinal
Related Products
Idazoxan  Idebenone  L-Iditol  Idolax  L-Idonic acid  D-Idonic acid gamma-lactone  7-(alpha-L-Idopyranosyloxy)-4-methyl-2H-1-benzopyran-2-one  D-Idosamine  Idoxifene  Idraparinux sodium  Idrocilamide  IEM 1754  Ifenprodil  Ifenprodil tartrate  Ifflaiamine  IGF-1 LR3  Iguratimod  Ikshusterol  Ilaprazole  Ilepatril