Online Database of Chemicals from Around the World

O-2-O-Acetyl-6-deoxy-3-O-methyl-beta-D-galactopyranosyl-(1→4)-O-2,6-dideoxy-3-O-methyl-beta-D-ribo-hexopyranosyl-(1→4)-O-2,6-dideoxy-3-O-methyl-beta-D-ribo-hexopyranosyl-(1→4)-O-2,6-dideoxy-3-O-methyl-beta-D-ribo-hexopyranosyl-(1→4)-2,6-dideoxy-3-O-methyl-D-arabino-hexonic acid delta-lactone
[CAS# 110764-09-5]

Identification
Name O-2-O-Acetyl-6-deoxy-3-O-methyl-beta-D-galactopyranosyl-(1→4)-O-2,6-dideoxy-3-O-methyl-beta-D-ribo-hexopyranosyl-(1→4)-O-2,6-dideoxy-3-O-methyl-beta-D-ribo-hexopyranosyl-(1→4)-O-2,6-dideoxy-3-O-methyl-beta-D-ribo-hexopyranosyl-(1→4)-2,6-dideoxy-3-O-methyl-D-arabino-hexonic acid delta-lactone
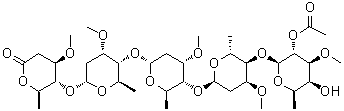
Molecular Structure CAS # 110764-09-5, O-2-O-Acetyl-6-deoxy-3-O-methyl-beta-D-galactopyranosyl-(1→4)-O-2,6-dideoxy-3-O-methyl-beta-D-ribo-hexopyranosyl-(1→4)-O-2,6-dideoxy-3-O-methyl-beta-D-ribo-hexopyranosyl-(1→4)-O-2,6-dideoxy-3-O-methyl-beta-D-ribo-hexopyranosyl-(1→4)-2,6-dideoxy-3-O-methyl-D-arabino-hexonic acid delta-lactone
Molecular Formula C37H62O18
Molecular Weight 794.88
CAS Registry Number 110764-09-5
Properties
Solubility Freely soluble (270 g/L) (25 ºC), Calc.*
Density 1.26±0.1 g/cm3 (20 ºC 760 Torr), Calc.*
* Calculated using Advanced Chemistry Development (ACD/Labs) Software V11.02 (©1994-2017 ACD/Labs)
Market Analysis Reports
List of Reports Available for O-2-O-Acetyl-6-deoxy-3-O-methyl-beta-D-galactopyranosyl-(1→4)-O-2,6-dideoxy-3-O-methyl-beta-D-ribo-hexopyranosyl-(1→4)-O-2,6-dideoxy-3-O-methyl-beta-D-ribo-hexopyranosyl-(1→4)-O-2,6-dideoxy-3-O-methyl-beta-D-ribo-hexopyranosyl-(1→4)-2,6-dideoxy-3-O-methyl-D-arabino-hexonic acid delta-lactone
Related Products
N4-Acetylcytosine  6''-O-Acetyldaidzin  N-Acetyldapsone  16-O-Acetyldarutigenol  6-Acetyl-7-deacetylforskolin  3-O-Acetyldehydroeburicoic acid  7-O-Acetyl-4-O-demethylpolysyphorin  N4-Acetyl-2'-deoxycytidine  N-Acetyl-2'-deoxycytidine 3'-acetate  N4-Acetyl-2'-deoxy-2'-fluorocytidine  15-O-Acetyl-4-deoxynivalenol  Acetyldesonide  N-Acetyl-de-O-sulfated heparin sodium  N-Acetyl-1,6-diaminopyridine  3-Acetyldibenzofuran  N-Acetyl-3,5-dibromoaniline  3-Acetyl-2,6-dichloro-5-fluorobenzonitrile  1-Acetyl-N-(4,6-dichloro-2-methyl-5-pyrimidinyl)-4,5-dihydro-1H-imidazol-2-amine  3-Acetyl-2,6-dichloropyridine  5-Acetyl-4,6-dichloropyrimidine