Online Database of Chemicals from Around the World

KZ-TPP
[CAS# 121543-39-3]

供应商目录
南京能德化工有限公司 中国 询价快递  
+86 (25) 8637-1192
+86 13851602286
info@capatue.com
stephenchow@capatue.com
QQ 交谈
化学品生产商
chemBlink 标准供应商 (2008年起)
KZ-TPP供应商总目录
基本信息
英文名 KZ-TPP
别名 Diphosphoric acid P,P'-bis[2,2-bis[(2-propenyloxy)methyl]butyl] ester zirconium complex
产品名称 KZ-TPP
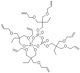
分子结构 CAS 登录号:121543-39-3, KZ-TPP
分子式 C48H84O17P2Zr
分子量 1086.34
CAS 登录号 121543-39-3
市场分析报告
请浏览KZ-TPP市场分析报告总目录
相关产品
KW 2449  KW-3902  瓜馥木甲素 B  KX 01  蓝晶石  DL-犬尿氨酸  D-犬尿氨酸  L-犬尿氨酸  京都肽  KZ 55  苦参酮  西葫芦籽油  苦参新醇 A  苦参新醇 B  苦参新醇 C  苦参酚 E  苦参醇 I  苦参醇 K  苦参醇 L  苦参醇 M