Online Database of Chemicals from Around the World

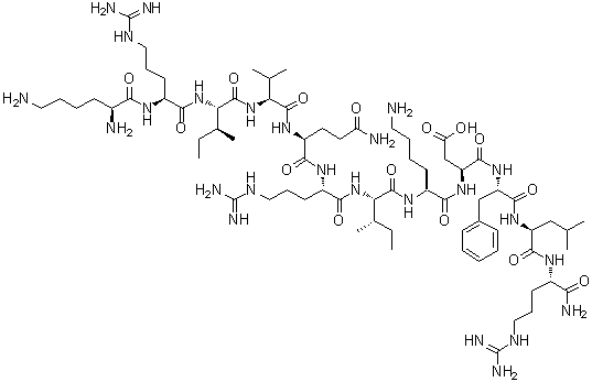
L-赖氨酰-L-精氨酰-L-异亮氨酰-L-缬氨酰-L-谷氨酰胺酰-L-精氨酰-L-异亮氨酰-L-赖氨酰-L-alpha-天冬氨酰-L-苯丙氨酰-L-亮氨酰-L-精氨酰胺
[CAS# 1218951-51-9]

基本信息
产品分类 生物化工 >> 多肽
英文名 L-Lysyl-L-arginyl-L-isoleucyl-L-valyl-L-glutaminyl-L-arginyl-L-isoleucyl-L-lysyl-L-alpha-aspartyl-L-phenylalanyl-L-leucyl-L-argininamide
产品名称 L-赖氨酰-L-精氨酰-L-异亮氨酰-L-缬氨酰-L-谷氨酰胺酰-L-精氨酰-L-异亮氨酰-L-赖氨酰-L-alpha-天冬氨酰-L-苯丙氨酰-L-亮氨酰-L-精氨酰胺
分子结构 CAS 登录号:1218951-51-9, L-赖氨酰-L-精氨酰-L-异亮氨酰-L-缬氨酰-L-谷氨酰胺酰-L-精氨酰-L-异亮氨酰-L-赖氨酰-L-alpha-天冬氨酰-L-苯丙氨酰-L-亮氨酰-L-精氨酰胺
分子式 C71H127N25O15
分子量 1570.93
CAS 登录号 1218951-51-9
物理化学性质
溶解度 极易溶解 (1000 g/L) (25 ºC), 计算值*
密度 1.40±0.1 g/cm3 (20 ºC 760 torr), 计算值*
* 使用计算软件 Advanced Chemistry Development (ACD/Labs) V11.02 (©1994-2016 ACD/Labs)
市场分析报告
请浏览L-赖氨酰-L-精氨酰-L-异亮氨酰-L-缬氨酰-L-谷氨酰胺酰-L-精氨酰-L-异亮氨酰-L-赖氨酰-L-alpha-天冬氨酰-L-苯丙氨酰-L-亮氨酰-L-精氨酰胺市场分析报告总目录
相关产品
溶血磷脂胆碱  溶葡球菌酶  溶酶体红色荧光探针 DND 99  溶菌酶  溶菌酶  盐酸溶菌酶  L-赖氨酰-L-丙氨酰-L-丝氨酰-L-alpha-谷氨酰-L-赖氨酰-L-异亮氨酰-L-苯丙氨酰-L-酪氨酰-L-缬氨酸  L-赖氨酰-L-精氨酸  L-赖氨酰-L-精氨酰-L-天冬氨酰胺酰-L-脯氨酰甘氨酰-L-丝氨酰-L-谷氨酰胺酰-L-赖氨酰-L-精氨酰-L-苯丙氨酰-L-脯氨酰-L-丝氨酰-L-天冬氨酰胺酰-L-半胱氨酰甘氨酰-L-精氨酰-L-天冬氨酸  L-赖氨酰-L-精氨酰-L-alpha-谷氨酰-L-亮氨酰-L-缬氨酰-L-alpha-谷氨酰-L-脯氨酰-L-亮氨酰-L-苏氨酰-L-脯氨酰-L-丝氨酰甘氨酰-L-alpha-谷氨酰-L-丙氨酰-L-脯氨酰-L-天冬氨酰胺酰-L-谷氨酰胺酰-L-丙氨酰-L-亮氨酰-L-亮氨酰-L-精氨酸  L-赖氨酰-L-精氨酰-L-苏氨酰甘氨酰-L-谷氨酰胺酰-L-酪氨酰-L-赖氨酰-L-亮氨酸  L-赖氨酰-L-精氨酰-L-苏氨酰-L-亮氨酰-L-精氨酸  L-赖氨酰-L-精氨酰-L-酪氨酰-L-苯丙氨酰-L-赖氨酰-L-亮氨酰-L-丝氨酰-L-组氨酰-L-亮氨酰-L-谷氨酰胺酰-L-蛋氨酰-L-组氨酰-L-丝氨酰-L-精氨酰-L-赖氨酰-L-组氨酸  L-赖氨酰-L-天冬氨酰胺酰-L-天冬氨酰胺酰-L-丙氨酰-L-半胱氨酰甘氨酰-L-异亮氨酰-L-丙氨酰-L-天冬氨酰胺酰-L-亮氨酰-L-丙氨酰-L-丝氨酸  L-赖氨酰-L-天冬氨酰胺酰-L-半胱氨酰-L-alpha-谷氨酰-L-脯氨酰-L-缬氨酰-L-缬氨酰-L-脯氨酰-L-天冬氨酰胺酰-L-丙氨酰-L-脯氨酰-L-脯氨酰-L-丙氨酰-L-酪氨酰-L-alpha-谷氨酰-L-赖氨酰-L-亮氨酰-L-丝氨酰-L-丙氨酰-L-谷氨酸  L-赖氨酰-L-天冬氨酸  L-赖氨酰-L-alpha-天冬氨酰-L-异亮氨酰-N5-(氨基羰基)-L-鸟氨酰胺  L-赖氨酰-L-alpha-天冬氨酰-L-缬氨酰-N5-(氨基羰基)-L-鸟氨酸  L-赖氨酰-L-半胱氨酰-L-半胱氨酰-L-赖氨酰-L-异亮氨酰-L-精氨酰-L-酪氨酰-L-半胱氨酰-L-天冬氨酰胺酰-L-亮氨酰-L-alpha-谷氨酰甘氨酰-L-脯氨酰-L-脯氨酰-L-异亮氨酰-L-天冬氨酰胺酰-L-丝氨酰-L-丝氨酰-L-缬氨酰-L-苯丙氨酸  赖氨酰谷氨酸