Online Database of Chemicals from Around the World

直接黄 106
[CAS# 12222-60-5]

供应商目录
超彩实业有限公司 中国 询价快递  
+86 (574) 8385-1061
info@win-chemical.com
hhp13@hotmail.com
化学品生产商
chemBlink 标准供应商 (2010年起)
Biosynth AG. 瑞士 询价快递  
+41 (71) 858-2020
welcome@biosynth.ch
化学品生产商
chemBlink 标准供应商 (2014年起)
直接黄 106供应商总目录
基本信息
产品分类 染料及颜料 >> 染料 >> 直接染料
英文名 Direct Yellow 106
别名 Sirius Supra Yellow 3R-LL; Solophenyl Yellow ARL; Solophenyl Yellow ARLE; Solophenyl Yellow AUF; Superlitefast Yellow EFC
产品名称 直接黄 106
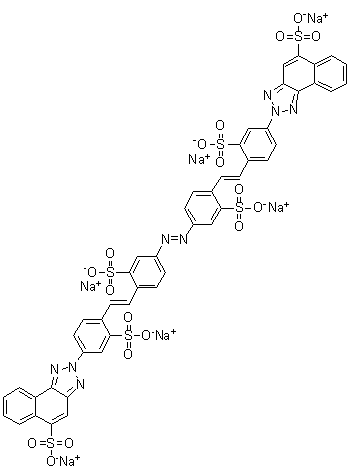
分子结构 CAS 登录号:12222-60-5, 直接黄 106
分子式 C48H26N8O18S6.Na6
分子量 1333.10
CAS 登录号 12222-60-5
EC 号码 235-416-3
安全数据
危害分类
up    说明
危害分类类别码危害标签
对水生环境长期有害Aquatic Chronic3H412
眼刺激Eye Irrit.2H319
市场分析报告
请浏览直接黄 106市场分析报告总目录
相关产品
直接红 75  直接红 79  直接红 80  直接红 81  直接红 83  直接红 89  直接红 9  直接紫 51  直接紫 62  直接紫 9  直接黄 107  直接黄 11  直接黄 12  直接黄 132  直接黄 142  直接黄 26  直接黄 27  直接黄 28  直接黄 4  直接黄 44