Online Database of Chemicals from Around the World

莱苞迪苷 G
[CAS# 127345-21-5]

供应商目录
成都普瑞法科技开发有限公司 中国 询价快递  
+86 (28) 8263-3860
8263-3987
sales@biopurify.com
biopurify@gmail.com
QQ 交谈
Skype 聊天
化学品生产商
chemBlink 标准供应商 (2017年起)
常州新星联生物科技有限公司 中国 询价快递  
+86 (519) 8555-7386
+86 18015025600
marketing1@neostarunited.com
化学品供销商 (2014年起)
chemBlink 标准供应商 (2020年起)
莱苞迪苷 G供应商总目录
基本信息
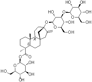
英文名 Rebaudioside G
别名 (4alpha)-13-[(3-O-beta-D-Glucopyranosyl-beta-D-glucopyranosyl)oxy]-kaur-16-en-18-oic acid beta-D-glucopyranosyl ester
产品名称 莱苞迪苷 G
分子结构 CAS 登录号:127345-21-5, 莱苞迪苷 G
分子式 C38H60O18
分子量 804.87
CAS 登录号 127345-21-5
物理化学性质
溶解度 几乎不溶 (0.017 g/L) (25 ºC), 计算值*
密度 1.53±0.1 g/cm3 (20 ºC 760 torr), 计算值*
* 使用计算软件 Advanced Chemistry Development (ACD/Labs) V11.02 (©1994-2015 ACD/Labs)
市场分析报告
请浏览莱苞迪苷 G市场分析报告总目录
相关产品
活性黄 81  活性黄 84  活性黄 86  瑞巴派特  甜菊双糖苷 A  莱苞迪甙 B  莱苞迪苷 C  莱苞迪甙 D  甜菊双糖苷 E  甜菊双糖苷 F  甜菊双糖苷 I  莱苞迪甙 J  甜菊双糖苷 M  甜菊双糖苷 N  甜菊双糖苷 O  蝴蝶霉素  雷贝拉唑钠  雷贝拉唑砜 N-氧化物  瑞波西汀  瑞波西汀甲磺酸盐