Online Database of Chemicals from Around the World

L-丙氨酰甘氨酰-L-丙氨酰-L-苏氨酰甘氨酰甘氨酰-L-精氨酰甘氨酰-L-脯氨酰-L-精氨酰甘氨酰-L-丙氨酰甘氨酰-L-丙氨酸
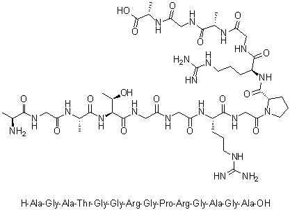
[CAS# 1330060-68-8]

基本信息
产品分类 生物化工 >> 多肽
英文名 L-Alanylglycyl-L-alanyl-L-threonylglycylglycyl-L-arginylglycyl-L-prolyl-L-arginylglycyl-L-alanylglycyl-L-alanine
产品名称 L-丙氨酰甘氨酰-L-丙氨酰-L-苏氨酰甘氨酰甘氨酰-L-精氨酰甘氨酰-L-脯氨酰-L-精氨酰甘氨酰-L-丙氨酰甘氨酰-L-丙氨酸
分子结构 CAS 登录号:1330060-68-8, L-丙氨酰甘氨酰-L-丙氨酰-L-苏氨酰甘氨酰甘氨酰-L-精氨酰甘氨酰-L-脯氨酰-L-精氨酰甘氨酰-L-丙氨酰甘氨酰-L-丙氨酸
蛋白质序列 1-14 AGATGGRGPR GAGA
[14-E-OH;]
分子式 C45H78N20O16
分子量 1155.23
CAS 登录号 1330060-68-8
物理化学性质
溶解度 极易溶解 (1000 g/L) (25 ºC), 计算值*
密度 1.56±0.1 g/cm3 (20 ºC 760 torr), 计算值*
* 使用计算软件 Advanced Chemistry Development (ACD/Labs) V11.02 (©1994-2016 ACD/Labs)
市场分析报告
请浏览L-丙氨酰甘氨酰-L-丙氨酰-L-苏氨酰甘氨酰甘氨酰-L-精氨酰甘氨酰-L-脯氨酰-L-精氨酰甘氨酰-L-丙氨酰甘氨酰-L-丙氨酸市场分析报告总目录
相关产品
L-丙氨酰-L-α-谷氨酰-L-α-天冬氨酰-甘氨酸单乙酸酯  L-丙氨酰-L-alpha-谷氨酰-L-半胱氨酰-L-丙氨酰-L-亮氨酰-L-赖氨酰-L-苯丙氨酰-L-脯氨酰-L-天冬氨酰胺酰-L-精氨酰-L-谷氨酰胺酰-L-半胱氨酰-L-亮氨酸  L-丙氨酰-L-alpha-谷氨酰-L-亮氨酰-L-缬氨酰-L-组氨酰-L-苯丙氨酰-L-亮氨酰-L-亮氨酰-L-亮氨酸  L-丙氨酰-L-alpha-谷氨酰-L-亮氨酰-L-缬氨酰-L-组氨酰-L-苯丙氨酰-L-亮氨酰-L-亮氨酰-L-亮氨酰-L-赖氨酰-L-酪氨酰-L-精氨酰-L-丙氨酰-L-精氨酸  L-丙氨酰-D-gamma-谷氨酰-L-赖氨酰-D-丙氨酰-D-丙氨酸  L-丙氨酰-L-alpha-谷氨酰-L-赖氨酰-L-赖氨酰-L-丙氨酰-L-丙氨酰-L-赖氨酰-L-赖氨酰-L-丝氨酰-L-酪氨酸  L-丙氨酰-L-alpha-谷氨酰-L-脯氨酰-L-异亮氨酰-L-天冬氨酰胺酰-L-异亮氨酰-L-谷氨酰胺酰-L-苏氨酰-L-色氨酸  N-L-丙氨酰甘氨酸  L-丙氨酰甘氨酸甲酯  丙氨酰甘氨酸甲酯  D-丙氨酰甘氨酰甘氨酸  L-丙氨酰-L-组氨酰-L-赖氨酸  beta-丙氨酰-L-异亮氨酸  L-丙氨酰-L-异亮氨酰-L-丙氨酰-L-丝氨酰-L-亮氨酰-L-异亮氨酰甘氨酰-L-缬氨酰-L-alpha-谷氨酰甘氨酸  L-丙氨酰-L-异亮氨酰-L-异亮氨酰-L-alpha-天冬氨酰-L-脯氨酰甘氨酰-L-alpha-天冬氨酰-L-丝氨酰-L-alpha-天冬氨酰-L-异亮氨酰-L-异亮氨酰-L-精氨酰-L-丝氨酰-L-蛋氨酰-L-脯氨酰-L-alpha-谷氨酰-L-谷氨酰胺酰-L-苏氨酰甘氨酰-L-alpha-谷氨酰-L-赖氨酸  L-丙氨酰-L-异亮氨酰-L-异亮氨酰-L-alpha-谷氨酰-L-alpha-谷氨酰-L-酪氨酰-L-亮氨酰-L-组氨酰-L-亮氨酸  L-丙氨酰-L-异亮氨酰-L-亮氨酰-L-丙氨酰-L-组氨酰-L-亮氨酰-L-天冬氨酰胺酰-L-苏氨酰-L-缬氨酸  L-丙氨酰-L-异亮氨酰-L-亮氨酰-L-丙氨酰-L-亮氨酰-L-亮氨酰-L-脯氨酰-L-丙氨酰-L-亮氨酸  L-丙氨酰-L-亮氨酸  DL-丙氨酰-DL-亮氨酸