Online Database of Chemicals from Around the World

Tannic acid
[CAS# 1401-55-4]

Top Active Suppliers
Shanghai Worldyang Chemical Co., Ltd. China Inquire  
+86 13651600618
+86 (21) 5679-5779
sales7777@worldyachem.com
QQ chat
WeChat: 13651600618
WhatsApp: +86 13651600618
Chemical manufacturer since 2012
chemBlink premium supplier since 2023
Identification
Classification Organic raw materials >> Carboxylic compounds and derivatives >> Cyclic carboxylic acid
Name Tannic acid
Synonyms Gallotannic acid; Gallotannin; Galloylglucose; Glycerite; Quebracho; Tannins
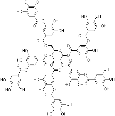
Molecular Structure CAS # 1401-55-4 (93615-37-3), Tannic acid, Gallotannic acid, Gallotannin, Galloylglucose, Glycerite, Quebracho, Tannins
Molecular Formula C76H52O46
Molecular Weight 1701.22
CAS Registry Number 1401-55-4 (93615-37-3)
EC Number 215-753-2
SMILES C1=C(C=C(C(=C1O)O)O)C(=O)OC2=CC(=CC(=C2O)O)C(=O)OC[C@@H]3[C@H]([C@@H]([C@H]([C@@H](O3)OC(=O)C4=CC(=C(C(=C4)OC(=O)C5=CC(=C(C(=C5)O)O)O)O)O)OC(=O)C6=CC(=C(C(=C6)OC(=O)C7=CC(=C(C(=C7)O)O)O)O)O)OC(=O)C8=CC(=C(C(=C8)OC(=O)C9=CC(=C(C(=C9)O)O)O)O)O)OC(=O)C1=CC(=C(C(=C1)OC(=O)C1=CC(=C(C(=C1)O)O)O)O)O
Properties
Melting point 218 ºC
Flash point 198 ºC
Water solubility 250 g/L (20 ºC)
Safety Data
Hazard Symbols symbol   GHS07 Warning    Details
Hazard Statements H319--H412    Details
Precautionary Statements P264+P265-P273-P280-P305+P351+P338-P337+P317-P501    Details
Hazard Classification
up    Details
HazardClassCategory CodeHazard Statement
Eye irritationEye Irrit.2H319
Chronic hazardous to the aquatic environmentAquatic Chronic3H412
Skin irritationSkin Irrit.2H315
SDS Available
up Discovory and Applicatios
Tannic acid is a complex mixture of polyphenolic compounds first discovered in plants such as oak galls, sumac and tea leaves. Its discovery dates back to ancient civilizations, when tannic acid-rich extracts were used for tanning leather and dyeing textiles. In the 19th century, chemists such as Pelouze and Braconnot elucidated the chemical composition of tannic acid, identified its polyphenolic nature and multiple chemical properties.

Tannic acid is widely used in the tanning industry, where it binds to and precipitates proteins in animal skins, transforming them into durable leather. It forms a stable complex with collagen fibers, crosslinking and stabilizing the protein structure, resulting in a soft, flexible, and waterproof leather product. Tannic acid-rich plant extracts are used in traditional and modern tanning processes.

Tannic acid is used as a flavor enhancer, stabilizer, and antioxidant in the food and beverage industry. It imparts a bitter taste to certain foods and beverages, such as wine, beer, and tea, thereby improving their sensory characteristics. Tannic acid also acts as a natural preservative, inhibiting microbial growth and oxidative rancidity in food. It is added to wine and beer to improve flavor stability and shelf life.

Tannic acid has a variety of pharmacological properties, including anti-inflammatory, antibacterial and antioxidant effects. It is used in pharmaceutical formulations and has potential therapeutic effects in wound healing, gastrointestinal diseases and skin diseases. Tannic acid-based preparations (such as ointments, mouthwashes and topical solutions) are used to treat burns, ulcers and mucosal inflammation.

Tannic acid is used as a mordant or dye fixative in textile dyeing and printing processes. It enhances the adhesion of natural dyes to textile fibers and improves color fastness and wash resistance. Tannic acid forms coordination complexes with metal ions, promoting their binding to the fabric matrix and enhancing dye absorption. It is used in traditional dyeing techniques and printing methods for environmentally friendly textiles.

Tannic acid is used as a photographic developer and paper sizing agent in the photography and papermaking industries. It acts as a reducing agent in the photographic process to promote the development of latent silver halide on photographic emulsions. Tannic acid can also be used as a sizing agent to improve the strength, brightness and printability of paper products, thereby improving printing quality.

Tannic acid is added to cosmetics and personal care products for its astringent and antioxidant properties. It helps tighten and tone the skin, minimize the appearance of pores, and relieve symptoms of skin irritation and inflammation. Formulas containing tannic acid are used in skin care products such as toners, astringents, and anti-aging treatments to promote skin health and rejuvenation.

References

2000. Antioxidative phenolic compounds from the roots of Rhodiola sachalinensis A. Bor. Archives of Pharmacal Research.
DOI: 10.1007/bf02976571

2024. Integral valorization of two-phase olive mill waste: extraction of cellulose and lignin and their characterization. Euro-Mediterranean Journal for Environmental Integration.
DOI: 10.1007/s41207-024-00521-3

2023. Production of Liquid Soap from Castor Oil and VCO with the Addition of Sorghum Tannins and Lemongrass Essential Oil as Anti-Bacterial Ingredients. The 6th Mechanical Engineering, Science and Technology (MEST 2022) International Conference.
DOI: 10.2991/978-94-6463-134-0_38
Market Analysis Reports
List of Reports Available for Tannic acid
Related Products
Taraxasterol acetate  Taraxerol  Taraxerone  Targophagin  Tariquidar  Tariquidar dimethanesulfonate hexahydrate  Tarragon Oil  D(-)-Tartaric acid  (R,S)-Taniaphos  Taniborbactam  Tannins, albumin complexes  Tannins, compds. with bisacodyl  Tannins, compds. with 4,4'-[1,3-phenylenebis(azo)]bis[1,3-benzenediamine]  Tanogitran  Tanomastat  Tanshindiol A  Tanshindiol B  Tanshindiol C  Tanshinlactone  Tanshinone I