Online Database of Chemicals from Around the World
产品搜索
|
产品提交
|
English
主页
>>
化工产品目录
>>
I
>> 艾屈肝素钠
艾屈肝素钠
[CAS# 149920-56-9]
供应商目录
CAS: 149920-56-9
产品: 艾屈肝素钠
暂时没有厂家供应
基本信息
英文名
Idraparinux sodium
别名
Idraparinux; Org 34006; SANORG 34006; SR 34006
产品名称
艾屈肝素钠
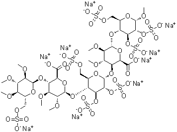
分子结构
分子式
C
38
H
55
O
49
S
7
.
9
Na
分子量
1727.18
CAS 登录号
149920-56-9
市场分析报告
请浏览艾屈肝素钠市场分析报告总目录
相关产品
盐酸依达比星
亚达唑散
艾地苯醌
L-艾杜糖醇
寡果糖
L-艾杜糖酸
D-艾杜糖酸 gamma-内酯
7-(alpha-L-吡喃艾杜糖基氧基)-4-甲基-2H-1-苯并吡喃-2-酮
D-艾杜糖胺
艾多昔芬
伊屈西那
羟乙桂胺
IEM 1754
艾芬地尔
酒石酸艾芬地尔
Ifflaiamine
类胰岛素生长因子1
艾拉莫德
3beta,7alpha-二羟基豆甾-5-烯
艾普拉唑