Online Database of Chemicals from Around the World

阿兰西那
[CAS# 150785-53-8]

供应商目录
Alfa Chemistry 美国 询价快递  
+1 (201) 478-8534
inquiry@alfa-chemistry.com
化学品供销商 (2012年起)
chemBlink 标准供应商 (2012年起)
阿兰西那供应商总目录
基本信息
产品分类 原料药 >> 消化系统用药
英文名 Alemcinal
别名 8,9-Didehydro-N-demethyl-9-deoxo-4'',6,12-trideoxy-6,9-epoxy-N-ethylerythromycin; A 81229; ABT 229; Abbott 81229.0
产品名称 阿兰西那
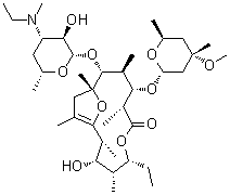
分子结构 CAS 登录号:150785-53-8, 阿兰西那
分子式 C38H67NO10
分子量 697.94
CAS 登录号 150785-53-8
物理化学性质
溶解度 微溶 (2.3 g/L) (25 ºC), 计算值*
密度 1.13±0.1 g/cm3 (20 ºC 760 torr), 计算值*
* 使用计算软件 Advanced Chemistry Development (ACD/Labs) V11.02 (©1994-2015 ACD/Labs)
市场分析报告
请浏览阿兰西那市场分析报告总目录
相关产品
乙氧基化羊毛脂醇  阿库氯铵  涕灭威  尿囊素铝  (E)-Aldosecologanin  变旋酶  醛固酮  Aldoxorubicin  艾氏剂  阿格列扎  阿来组单抗  鬼箭羽碱  阿巴康唑  白绵马素 AA  白绵马素 AP  阿苯达唑  阿苯达唑 EP 杂质A  阿苯达唑 EP 杂质C  阿苯达唑 EP 杂质F  阿苯达唑 EP 杂质G