Online Database of Chemicals from Around the World

mu-氧二[5,10,15,20-四(4-氯苯基)-21H,23H-卟啉-N21,N22,N23,N24]二锰
[CAS# 154089-63-1]

基本信息
英文名 mu-Oxobis[5,10,15,20-tetrakis(4-chlorophenyl)-21H,23H-porphinato(2-)-N21,N22,N23,N24]dimanganese
产品名称 mu-氧二[5,10,15,20-四(4-氯苯基)-21H,23H-卟啉-N21,N22,N23,N24]二锰
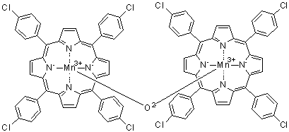
分子结构 CAS 登录号:154089-63-1, mu-氧二[5,10,15,20-四(4-氯苯基)-21H,23H-卟啉-N21,N22,N23,N24]二锰
分子式 C88H48Cl8Mn2N8O
分子量 1626.87
CAS 登录号 154089-63-1
市场分析报告
请浏览mu-氧二[5,10,15,20-四(4-氯苯基)-21H,23H-卟啉-N21,N22,N23,N24]二锰市场分析报告总目录
相关产品
4-氧代环己烷乙酸乙酯  2-氧代环己烷甲腈  3-氧代-1-环己烷羧酸  (1r)-3-氧代环己烷羧酸  4-环己酮羧酸  (1S)-3-氧代环己烷-1-羧酸  5-氧代-1,3-环己烷二甲酸  4-氧代-1,1-环己烷二甲酸二叔丁酯  (1R,5S,6R)-rel-2-氧代双环[3.1.0]己烷-6-羧酸乙酯  [R-(E)]-4-(1,5-二甲基-3-氧代-1-己烯基)-1-环己烯-1-羧酸  mu-氧二[(5,10,15,20-四(4-氯苯基)卟啉)铁]  mu-氧代二[5,10,15,20-四(4-甲氧基苯基)-21H,23H-卟啉-N21,N22,N23,N24]二锰  mu-氧-二[[四(4-甲氧基苯基)卟啉]铁]  mu-氧二[5,10,15,20-四(4-甲基苯基)-21H,23H-卟啉-N21,N22,N23,N24]二铁(1+)  mu-氧二[5,10,15,20-四(4-甲基苯基)-21H,23H-卟啉-N21,N22,N23,N24]二锰  mu-氧二[5,10,15,20-四苯基-21H,23H-卟啉(2-)-N21,N22,N23,N24]二锰  mu-氧二[alpha,beta,gamma,delta-四苯基卟啉铁(III)]  [mu-氧双[三(二甲氨基)鏻]]双(四氟硼酸)盐  2-氧代丁二酸 4-甲酯  氰基丙酮