Online Database of Chemicals from Around the World

凤仙萜四醇苷 M
[CAS# 161016-51-9]

供应商目录
BOC Sciences 美国 询价快递  
+1 (631) 485-4226
info@bocsci.com
化学品生产商
chemBlink 标准供应商 (2010年起)
成都普瑞法科技开发有限公司 中国 询价快递  
+86 (28) 8263-3860
8263-3987
sales@biopurify.com
biopurify@gmail.com
QQ 交谈
Skype 聊天
化学品生产商
chemBlink 标准供应商 (2017年起)
常州新星联生物科技有限公司 中国 询价快递  
+86 (519) 8555-7386
+86 18015025600
marketing1@neostarunited.com
化学品供销商 (2014年起)
chemBlink 标准供应商 (2020年起)
凤仙萜四醇苷 M供应商总目录
基本信息
英文名 Hosenkoside M
产品名称 凤仙萜四醇苷 M
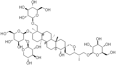
分子结构 CAS 登录号:161016-51-9, 凤仙萜四醇苷 M
分子式 C53H90O24
分子量 1111.27
CAS 登录号 161016-51-9
物理化学性质
溶解度 几乎不溶 (0.048 g/L) (25 ºC), 计算值*
密度 1.48±0.1 g/cm3 (20 ºC 760 torr), 计算值*
* 使用计算软件 Advanced Chemistry Development (ACD/Labs) V11.02 (©1994-2015 ACD/Labs)
市场分析报告
请浏览凤仙萜四醇苷 M市场分析报告总目录
相关产品
Hormaomycin  荷茗草醌  马栗子提取物  马薄荷油  凤仙萜四醇苷 A  凤仙萜四醇苷 B  凤仙萜四醇苷 C  凤仙萜四醇苷 F  凤仙萜四醇苷 G  凤仙萜四醇苷 K  Hostacor H  Hostacor IT  Hostacor KSI  Hostapur SAS 30  2-苯基丙二腈  高哌嗪  2-(高哌啶-1-基)嘧啶-5-硼酸嚬哪醇酯  高车前苷  L-beta-高脯氨酸盐酸盐  高紫檀素