Online Database of Chemicals from Around the World

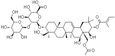
(3beta,4alpha,16alpha,21beta,22alpha)-28-(Acetyloxy)-16,22,23-trihydroxy-21-[[(2E)-2-methyl-1-oxo-2-buten-1-yl]oxy]olean-12-en-3-yl 2-O-beta-D-glucopyranosyl-beta-D-glucopyranosiduronic acid
[CAS# 1613506-28-7]

Identification
Name (3beta,4alpha,16alpha,21beta,22alpha)-28-(Acetyloxy)-16,22,23-trihydroxy-21-[[(2E)-2-methyl-1-oxo-2-buten-1-yl]oxy]olean-12-en-3-yl 2-O-beta-D-glucopyranosyl-beta-D-glucopyranosiduronic acid
Molecular Structure CAS # 1613506-28-7, (3beta,4alpha,16alpha,21beta,22alpha)-28-(Acetyloxy)-16,22,23-trihydroxy-21-[[(2E)-2-methyl-1-oxo-2-buten-1-yl]oxy]olean-12-en-3-yl 2-O-beta-D-glucopyranosyl-beta-D-glucopyranosiduronic acid
Molecular Formula C49H76O19
Molecular Weight 969.12
CAS Registry Number 1613506-28-7
Properties
Solubility Insoluble (3.1E-4 g/L) (25 ºC), Calc.*
Density 1.40±0.1 g/cm3 (20 ºC 760 Torr), Calc.*
* Calculated using Advanced Chemistry Development (ACD/Labs) Software V11.02 (©1994-2019 ACD/Labs)
Market Analysis Reports
List of Reports Available for (3beta,4alpha,16alpha,21beta,22alpha)-28-(Acetyloxy)-16,22,23-trihydroxy-21-[[(2E)-2-methyl-1-oxo-2-buten-1-yl]oxy]olean-12-en-3-yl 2-O-beta-D-glucopyranosyl-beta-D-glucopyranosiduronic acid
Related Products
4-[[4-(Acetyloxy)phenyl]imino]-2,5-cyclohexadien-1-one  (1R,5R,7S,8S)-7-(Acetyloxy)-8-(phenylmethoxy)-3,6-dioxabicyclo[3.2.1]octane-5-methanol 5-acetate  4-[[4-(Acetyloxy)phenyl]-2-pyridinylmethyl]phenol  3-Acetyloxypregn-16-en-20-one  4-(Acetyloxy)-2H,3H-pyran-2,6-dione  3-(Acetyloxy)-2,4,5,6-tetrahydro-1H-benz[de]isoquinolin-1-one  alpha-(Acetyloxy)thymidine  (3beta,12beta,16beta,23S,24R,25R)-12-(Acetyloxy)-16,23:23,26:24,25-triepoxy-9,19-cyclolanost-7-en-3-yl beta-D-xylopyranoside  12-(Acetyloxy)-3,6,7-trihydroxycholan-24-oic acid methyl ester  (3beta,4beta,16alpha,21beta,22alpha)-22-(acetyloxy)-16,23,28-trihydroxy-21-[[(2E)-2-methyl-1-oxo-2-buten-1-yl]oxy]olean-12-en-3-yl 2-O-beta-D-glucopyranosyl-beta-D-Glucopyranosiduronic acid  (6S)-6-[(1R)-1-(Acetyloxy)undecyl]tetrahydro-2H-pyran-2-one  2-Acetylphenanthrene  2-Acetyl-1,10-phenanthroline  O-Acetyl-N-(1-phenanthrylmethyl)hydroxylamine  2-Acetylphenothiazine  10-Acetyl-3,7-phenoxazinediol diacetate  N-(2-Acetylphenyl)acetamide  4-Acetylphenyl acetate  4-Acetylphenylacetic acid  2-Acetylphenylacetonitrile