Online Database of Chemicals from Around the World

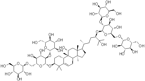
罗汉果甙 VI
[CAS# 189307-15-1]

供应商目录
成都普瑞法科技开发有限公司 中国 询价快递  
+86 (28) 8263-3860
8263-3987
sales@biopurify.com
biopurify@gmail.com
QQ 交谈
Skype 聊天
化学品生产商
chemBlink 标准供应商 (2017年起)
罗汉果甙 VI供应商总目录
基本信息
英文名 Mogroside VI
别名 (3beta,9beta,10alpha,11alpha,24R)-11,25-Dihydroxy-9-methyl-19-norlanost-5-ene-3,24-diyl bis[O-beta-D-glucopyranosyl-(1→2)-O-[beta-D-glucopyranosyl-(1→6)]-beta-D-glucopyranoside
产品名称 罗汉果甙 VI
分子结构 CAS 登录号:189307-15-1, 罗汉果甙 VI
分子式 C66H112O34
分子量 1449.58
CAS 登录号 189307-15-1
物理化学性质
溶解度 不溶 (1.4e-3 g/L) (25 ºC), 计算值*
密度 1.55±0.1 g/cm3 (20 ºC 760 torr), 计算值*
* 使用计算软件 Advanced Chemistry Development (ACD/Labs) V11.02 (©1994-2016 ACD/Labs)
市场分析报告
请浏览罗汉果甙 VI市场分析报告总目录
相关产品
糠酸莫美他松  莫米松糠酸酯 EP 杂质D  莫米松糠酸酯 EP 杂质R  莫米松糠酸酯杂质10  罗汉果甙 III-A2  罗汉果皂苷 III-E  罗汉果皂甙 IV-E  罗汉果皂甙 IV  罗汉果皂苷 IV-A  罗汉果糖苷 V  莫吉司坦  甜蜜素  香清兰苷  分子探针 B 1606  氚分子  Molidustat  禾草敌  吗茚酮  盐酸吗茚酮