Online Database of Chemicals from Around the World

阿拉伯五糖
[CAS# 190852-25-6]

供应商目录
卡博森斯化学科技 (苏州) 有限公司 中国 询价快递  
+86 (512) 6260-5585
sales@carbosynth.com
QQ 交谈
化学品生产商 (2006年起)
chemBlink 标准供应商 (2016年起)
阿拉伯五糖供应商总目录
基本信息
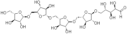
英文名 Arabinopentaose
别名 O-alpha-L-Arabinofuranosyl-(1→5)-O-alpha-L-arabinofuranosyl-(1→5)-O-alpha-L-arabinofuranosyl-(1→5)-O-alpha-L-arabinofuranosyl-(1→5)-L-arabinose
产品名称 阿拉伯五糖
分子结构 CAS 登录号:190852-25-6, 阿拉伯五糖
分子式 C25H42O21
分子量 678.59
CAS 登录号 190852-25-6
物理化学性质
溶解度 略溶 (21 g/L) (25 ºC), 计算值*
密度 1.75±0.1 g/cm3 (20 ºC 760 torr), 计算值*
* 使用计算软件 Advanced Chemistry Development (ACD/Labs) V11.02 (©1994-2016 ACD/Labs)
市场分析报告
请浏览阿拉伯五糖市场分析报告总目录
相关产品
9-beta-D-呋喃阿拉伯糖基鸟嘌呤  1-beta-D-阿拉伯呋喃糖基-5-碘尿嘧啶  7-(alpha-L-阿拉伯呋喃糖基氧基)-4-甲基-2H-1-苯并吡喃-2-酮  O-alpha-L-呋喃阿拉伯糖基-(1→3)-O-[beta-D-吡喃木糖基-(1→4)]-O-beta-D-吡喃木糖基-(1→4)-O-beta-D-吡喃木糖基-(1→4)-D-木糖  阿拉伯六糖  D-阿拉伯-2-己酮糖酸  L-阿拉伯-2-己酮糖酸  D-阿拉伯-2-己酮糖酸钙盐水合物  D-阿糖酸钙  D-阿拉伯糖酸 gamma-内酯  L-吡喃阿拉伯糖  D-阿拉伯吡喃糖  L-阿拉伯吡喃糖四乙酸酯  alpha-D-阿拉伯吡喃糖基叠氮化物  D-阿拉伯吡喃糖基溴化物三乙酸酯  6-alpha-L-阿拉伯吡喃糖基-5,7-二羟基-2-(4-羟基苯基)-8-beta-D-吡喃木糖基-4H-1-苯并吡喃-4-酮  6-(2-O-alpha-L-阿拉伯吡喃糖基-beta-D-吡喃葡萄糖基)-5,7-二羟基-2-(4-羟基苯基)-4H-1-苯并吡喃-4-酮  N-L-阿拉伯吡喃糖基-肼基硫代甲酰胺  N-D-阿拉伯吡喃糖基-肼基硫代甲酰胺  2-beta-D-阿拉伯吡喃糖基-肼基甲脒单硝酸盐