Online Database of Chemicals from Around the World

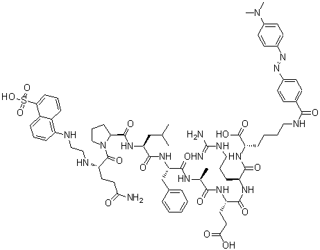
N-[2-[(5-Sulfo-1-naphthalenyl)amino]ethyl]-L-glutaminyl-L-prolyl-L-leucyl-L-phenylalanyl-L-alanyl-L-alpha-glutamyl-L-arginyl-N6-[4-[2-[4-(dimethylamino)phenyl]diazenyl]benzoyl]-L-lysine
[CAS# 1914987-47-5]

Identification
Classification Biochemical >> Peptide
Name N-[2-[(5-Sulfo-1-naphthalenyl)amino]ethyl]-L-glutaminyl-L-prolyl-L-leucyl-L-phenylalanyl-L-alanyl-L-alpha-glutamyl-L-arginyl-N6-[4-[2-[4-(dimethylamino)phenyl]diazenyl]benzoyl]-L-lysine
Molecular Structure CAS # 1914987-47-5, N-[2-[(5-Sulfo-1-naphthalenyl)amino]ethyl]-L-glutaminyl-L-prolyl-L-leucyl-L-phenylalanyl-L-alanyl-L-alpha-glutamyl-L-arginyl-N6-[4-[2-[4-(dimethylamino)phenyl]diazenyl]benzoyl]-L-lysine
Molecular Formula C72H97N17O16S
Molecular Weight 1488.71
CAS Registry Number 1914987-47-5
Properties
Solubility Very soluble (1000 g/L) (25 ºC), Calc.*
Density 1.40±0.1 g/cm3 (20 ºC 760 Torr), Calc.*
* Calculated using Advanced Chemistry Development (ACD/Labs) Software V11.02 (©1994-2017 ACD/Labs)
Market Analysis Reports
List of Reports Available for N-[2-[(5-Sulfo-1-naphthalenyl)amino]ethyl]-L-glutaminyl-L-prolyl-L-leucyl-L-phenylalanyl-L-alanyl-L-alpha-glutamyl-L-arginyl-N6-[4-[2-[4-(dimethylamino)phenyl]diazenyl]benzoyl]-L-lysine
Related Products
5-Sulfoisatin  5-Sulfoisophthalic acid  5-Sulfoisophthalic acid monolithium salt  5-Sulfoisophthalic acid monosodium salt  Sulfolane  3-Sulfolanylhydrazine hydrochloride  Sulfometuron-methyl  Sulfometuron  Sulfomyxin  4-Sulfonamide-phenylhydrazine hydrochloride  alpha-(Sulfo-1-naphthalenyl)-omega-hydroxy-poly(oxy-1,2-ethanediyl)  4-Sulfo-1,8-naphthalic anhydride potassium salt  1-(4-Sulfo-1-naphthylazo)-2-naphthol-5-sulfonic acid disodium salt  Sulfonated castor oil  p-Sulfonatocalix[4]arene  Sulfonic acids, C14-32-alkane, chloro, sodium salts  Sulfonic acids, C15-25-alkane, chloro, sodium salts  Sulfonic acids, C16-27-alkane, chloro, sodium salts  Sulfonic acids, petroleum  Sulfonic acids, petroleum, barium salts