Online Database of Chemicals from Around the World

N-[苄氧羰基]-L-缬氨酰-L-alpha-天冬氨酰-L-缬氨酰-L-丙氨酰-N-[2-氧代-4-(三氟甲基)-2H-1-苯并吡喃-7-基]-L-alpha-天冬氨酰胺
[CAS# 219138-08-6]

供应商目录
Creative Peptides 美国 询价快递  
+1 (631) 624-4882
info@creative-peptides.com
化学品生产商
chemBlink 标准供应商 (2010年起)
Alfa Chemistry 美国 询价快递  
+1 (201) 478-8534
inquiry@alfa-chemistry.com
化学品供销商 (2012年起)
chemBlink 标准供应商 (2012年起)
N-[苄氧羰基]-L-缬氨酰-L-alpha-天冬氨酰-L-缬氨酰-L-丙氨酰-N-[2-氧代-4-(三氟甲基)-2H-1-苯并吡喃-7-基]-L-alpha-天冬氨酰胺供应商总目录
基本信息
产品分类 生物化工 >> 氨基酸及其衍生物 >> 天冬氨酸类衍生物
英文名 N-[(Phenylmethoxy)carbonyl]-L-valyl-L-alpha-aspartyl-L-valyl-L-alanyl-N-[2-oxo-4-(trifluoromethyl)-2H-1-benzopyran-7-yl]-L-alpha-asparagine
产品名称 N-[苄氧羰基]-L-缬氨酰-L-alpha-天冬氨酰-L-缬氨酰-L-丙氨酰-N-[2-氧代-4-(三氟甲基)-2H-1-苯并吡喃-7-基]-L-alpha-天冬氨酰胺
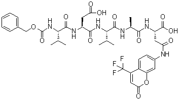
分子结构 CAS 登录号:219138-08-6, N-[苄氧羰基]-L-缬氨酰-L-alpha-天冬氨酰-L-缬氨酰-L-丙氨酰-N-[2-氧代-4-(三氟甲基)-2H-1-苯并吡喃-7-基]-L-alpha-天冬氨酰胺
分子式 C39H45F3N6O13
分子量 862.80
CAS 登录号 219138-08-6
物理化学性质
溶解度 不溶 (2.4e-3 g/L) (25 ºC), 计算值*
密度 1.399±0.06 g/cm3 (20 ºC 760 torr), 计算值*
* 使用计算软件 Advanced Chemistry Development (ACD/Labs) V11.02 (©1994-2015 ACD/Labs)
市场分析报告
请浏览N-[苄氧羰基]-L-缬氨酰-L-alpha-天冬氨酰-L-缬氨酰-L-丙氨酰-N-[2-氧代-4-(三氟甲基)-2H-1-苯并吡喃-7-基]-L-alpha-天冬氨酰胺市场分析报告总目录
相关产品
1-[苄氧羰基]-3-吡咯烷乙酸  1-[苄氧羰基]-2-吡咯烷乙酸  N2-[(苄氧基)羰基]-N-(三苯基甲基)-D-天冬氨酰胺  N2-[苄氧羰基]-N-(三苯甲基)-D-谷氨酰胺  N-[(苯甲氧基)羰基]-1-(三苯基甲基)-L-组氨酸  N-[苄氧羰基]-L-色氨酸苄酯  N-苄氧羰基-D-色氨酸苄酯  N-[苄氧羰基]-L-色氨酰-L-alpha-谷氨酰-N-[(1S)-3-氟-1-(2-甲氧基-2-氧代乙基)-2-氧代丙基]-L-组胺酰胺甲基酯  N-苄氧羰基-D-色氨酰-L-亮氨酸  N-[(苯基甲氧基)羰基]-L-缬氨酸 3-(乙酰氧基)-2-[(2-氨基-1,6-二氢-6-氧代-9H-嘌呤-9-基)甲氧基]丙基酯  N-[(苯基甲氧基)羰基]-L-缬氨酰-N-[1-(羧甲基)-3-氟-2-氧代丙基]-L-丙氨酰胺  N-[(苯基甲氧基)羰基]-L-缬氨酰-N-[(1S)-1-(2-重氮乙酰基)戊基]-L-缬氨酰胺  N-[(苯基甲氧基)羰基]-L-缬氨酰基-N-[3-氟-1-(2-甲氧基-2-氧代乙基)-2-氧代丙基]-L-丙氨酰胺  N-[苄氧羰基]-L-缬氨酰基-N-[(1S)-3-氟-1-(2-甲氧基-2-氧代乙基)-2-氧代丙基]-L-丙氨酰胺  N-[(苯基甲氧基)羰基]甘氨酰甘氨酰-N-2-萘基-L-亮氨酰胺  N-[(苯基甲氧基)羰基]甘氨酰甘氨酰-N-(4-硝基苯基)-L-亮胺酰胺  N-[N-[N-[(苯基甲氧基)羰基]甘氨酰]甘氨酰]-L-丝氨酸  N-[(苯基甲氧基)羰基]甘氨酰-N-(4-甲氧基-2-萘基)-L-脯氨酰胺  N-(苄氧羰基)甘氨酰-N-(4-硝基苯基)-L-脯氨酰胺  N-[苄氧羰基]甘氨酰-L-苯丙氨酰胺