Online Database of Chemicals from Around the World

L-缬氨酰-L-丙氨酰-L-alpha-谷氨酰-L-亮氨酰-L-缬氨酰-L-组氨酰-L-苯丙氨酰-L-亮氨酰-L-亮氨酸
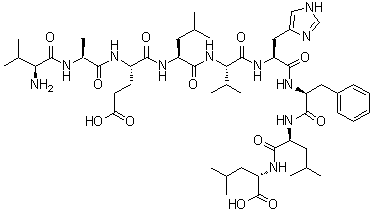
[CAS# 220111-11-5]

基本信息
产品分类 生物化工 >> 多肽
英文名 L-Valyl-L-alanyl-L-alpha-glutamyl-L-leucyl-L-valyl-L-histidyl-L-phenylalanyl-L-leucyl-L-leucine
产品名称 L-缬氨酰-L-丙氨酰-L-alpha-谷氨酰-L-亮氨酰-L-缬氨酰-L-组氨酰-L-苯丙氨酰-L-亮氨酰-L-亮氨酸
分子结构 CAS 登录号:220111-11-5, L-缬氨酰-L-丙氨酰-L-alpha-谷氨酰-L-亮氨酰-L-缬氨酰-L-组氨酰-L-苯丙氨酰-L-亮氨酰-L-亮氨酸
蛋白质序列 1-9 VAELVHFLL
[9-E-OH;]
分子式 C51H81N11O12
分子量 1040.26
CAS 登录号 220111-11-5
物理化学性质
溶解度 极微溶解 (0.32 g/L) (25 ºC), 计算值*
密度 1.208±0.06 g/cm3 (20 ºC 760 torr), 计算值*
* 使用计算软件 Advanced Chemistry Development (ACD/Labs) V11.02 (©1994-2016 ACD/Labs)
市场分析报告
请浏览L-缬氨酰-L-丙氨酰-L-alpha-谷氨酰-L-亮氨酰-L-缬氨酰-L-组氨酰-L-苯丙氨酰-L-亮氨酰-L-亮氨酸市场分析报告总目录
相关产品
缬沙坦甲酯  (S)-N-丁酰基-N-([2'-(1H-四唑-5-基)联苯-4-基]甲基)缬氨酸  戊司泊达  伐托他滨  泛托西他滨二盐酸盐  戊曲酯  Valtrate HD  缬草三酯 J  Valtropine  L-缬氨酰-L-丙氨酸  L-缬氨酰-L-丙氨酰-L-脯氨酰-L-丝氨酰-L-alpha-天冬氨酰-L-丝氨酰-L-异亮氨酰-L-谷氨酰胺酰-L-丙氨酰-L-alpha-谷氨酰-L-alpha-谷氨酰-L-色氨酰-L-酪氨酰-L-苯丙氨酰甘氨酰-L-赖氨酰-L-异亮氨酰-L-苏氨酰-L-精氨酰-L-精氨酰-L-谷氨酸  L-缬氨酸  缬氨酸  8-L-Valineadrenorphin (human)  26-L-缬氨酸-29-L-天冬酰胺-31-L-丝氨酸-alpha1-39-促肾上腺皮质激素(猪)  D-缬氨酸苄酯对甲基苯磺酸盐  L-缬氨酸苄酯盐酸盐  L-缬氨酸苄酯对甲苯磺酸盐  L-缬氨酸 N-羧基环内酸酐  3-(2-脱氧-beta-D-赤式-呋喃戊糖基)-6-(4-戊基苯基)呋喃并[2,3-d]嘧啶-2(3H)-酮 5'-L-缬氨酸酯