Online Database of Chemicals from Around the World

二乙烯三胺五亚甲基膦酸钠
[CAS# 22042-96-2]

供应商目录
江苏科利恩净水科技有限公司 中国 询价快递  
+86 (519) 8366-1998
info@kelien.com
化学品生产商
chemBlink 标准供应商 (2005年起)
山东省泰和水处理有限公司 中国 询价快递  
+86 (632) 511-3066
th@thwater.com
化学品生产商
chemBlink 标准供应商 (2008年起)
厦门志信化学有限公司 中国 询价快递  
+86 13806087780
sale@simagchem.com
化学品生产商 (2002年起)
chemBlink 标准供应商 (2008年起)
常州市润洋化工有限公司 中国 询价快递  
+86 (519) 8860-1518
pailove@sina.com
myabby@vip.qq.com
QQ 交谈
化学品生产商 (1995年起)
chemBlink 标准供应商 (2009年起)
枣庄市鑫泰水处理技术有限公司 中国 询价快递  
+86 (632) 346-1066
xintaiwater@163.com
化学品生产商
二乙烯三胺五亚甲基膦酸钠供应商总目录
基本信息
产品分类 有机原料 >> 有机膦化合物
英文名 Diethylenetriaminepenta(methylenephosphonicacid) sodium salt
别名 DTPMP-Na
产品名称 二乙烯三胺五亚甲基膦酸钠
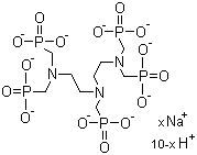
分子结构 CAS 登录号:22042-96-2, 二乙烯三胺五亚甲基膦酸钠
分子式 C9H28N3O15P5.xNa
CAS 登录号 22042-96-2
EC 号码 244-751-4
安全数据
危害分类
up    说明
危害分类类别码危害标签
对金属有腐蚀作用的物质或混合物Met. Corr.1H290
眼刺激Eye Irrit.2H319
皮肤刺激Skin Irrit.2H315
对水生环境长期有害Aquatic Chronic4H413
严重眼损伤Eye Dam.1H318
皮肤腐蚀Skin Corr.1BH314
皮肤腐蚀Skin Corr.1AH314
市场分析报告
请浏览二乙烯三胺五亚甲基膦酸钠市场分析报告总目录
相关产品
二乙二醇甲乙醚  二聚乙二醇-间苯二甲酸-马来酸酐-邻苯二甲酸酐共聚物  二聚乙二醇单十六烷基醚  二乙二醇单己醚  苯酐聚酯多元醇  二乙二醇单乙烯基醚  二乙烯三胺  二乙烯三胺五醋酸  二乙烯三胺五甲叉膦酸  二亚乙基三胺五亚甲基膦酸七钠盐  2,3-环氧琥珀酸 (2R,3R)-二乙酯  2-氯苯基 N-苯甲酰基-5'-O-[二(4-甲氧基苯基)苯基甲基]-2'-脱氧-3'-胞苷酸酯三乙胺盐  4-[2-[(1Z)-3-(叔丁氧基)-3-氧代-1-丙烯-1-基]苯基]-1,4-二氢-2,6-二甲基-3,5-吡啶二羧酸二乙酯  2-[[[3-(3,5-二甲基-4-异恶唑基)-4-(甲氧基)苯基]氨基]亚甲基]丙二酸二乙酯  二甲基丙二酸二乙酯  N,N-二乙基-N',N'-二甲基-1,3-丙二胺  2,5-二乙基-3,6-二甲基吡嗪  2,4-二甲基吡咯-3,5-二羧酸二乙酯  3,4-二甲基噻吩并[2,3-b]噻吩-2,5-二甲酸二乙酯  N,N-二乙基-N',N'-二甲基硫代过氧二碳酸二酰胺