Online Database of Chemicals from Around the World

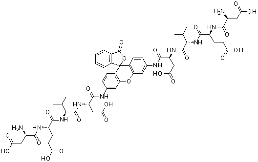
4,4'-(3-Oxospiro[isobenzofuran-1(3H),9'-[9H]xanthene]-3',6'-diyl)bis[L-alpha-aspartyl-L-alpha-glutamyl-L-valyl-L-alpha-asparagine]
[CAS# 220846-75-3]

Identification
Name 4,4'-(3-Oxospiro[isobenzofuran-1(3H),9'-[9H]xanthene]-3',6'-diyl)bis[L-alpha-aspartyl-L-alpha-glutamyl-L-valyl-L-alpha-asparagine]
Molecular Structure CAS # 220846-75-3, 4,4'-(3-Oxospiro[isobenzofuran-1(3H),9'-[9H]xanthene]-3',6'-diyl)bis[L-alpha-aspartyl-L-alpha-glutamyl-L-valyl-L-alpha-asparagine]
Molecular Formula C56H66N10O23
Molecular Weight 1247.18
CAS Registry Number 220846-75-3
Properties
Solubility Practically insoluble (0.047 g/L) (25 ºC), Calc.*
Density 1.56±0.1 g/cm3 (20 ºC 760 Torr), Calc.*
* Calculated using Advanced Chemistry Development (ACD/Labs) Software V11.02 (©1994-2016 ACD/Labs)
Market Analysis Reports
List of Reports Available for 4,4'-(3-Oxospiro[isobenzofuran-1(3H),9'-[9H]xanthene]-3',6'-diyl)bis[L-alpha-aspartyl-L-alpha-glutamyl-L-valyl-L-alpha-asparagine]
Related Products
5-Oxo-5H-thiazolo[3,2-a]pyrimidine-6-carboxylic acid  7-Oxo-7H-[1,3]thiazolo[3,2-a]pyrimidine-5-carboxylic acid  7-Oxo-7H-[1,3]thiazolo[3,2-a]pyrimidine-5-carboxylic acid methyl ester  2-[[(5-Oxo-5H-thiazolo[3,2-a]pyrimidin-7-yl)methyl]thio]acetic acid  5-Oxo-1-(2-thiazolyl)-3-pyrrolidinecarboxylic acid  trans-7'-Oxo-spiro[cyclohexane-1,5'(7'H)-furo[3,4-b]pyridine]-4-carboxylic acid  cis-1'-Oxo-spiro[cyclohexane-1,3'(1'H)-furo[3,4-c]pyridine]-4-carboxylic acid  trans-1'-Oxo-spiro[cyclohexane-1,3'(1'H)-furo[3,4-c]pyridine]-4-carboxylic acid hydrochloride  cis-1'-Oxo-spiro[cyclohexane-1,3'(1'H)-furo[3,4-c]pyridine]-4-carboxylic acid hydrochloride  trans-3'-Oxo-spiro[cyclohexane-1,1'(3'H)-isobenzofuran]-4-carboxylic acid  N,N'-[(3-Oxospiro[isobenzofuran-1(3H),9'-[9H]xanthene]-3',6'-diyl)bis[(methylimino)-2,1-ethanediyl]]bisacetamide  (3S,3'S)-4,4'-[(3-Oxospiro[isobenzofuran-1(3H),9'-[9H]xanthene]-3',6'-diyl)diimino]bis[3-amino-4-oxobutanoic acid] bis(trifluoroacetate)  (2R,5S)-7-Oxo-6-(sulfooxy)-1,6-diazabicyclo[3.2.1]octane-2-carboxamide monosodium salt  (2S,5R)-7-oxo-6-(sulfooxy)-1,6-diazabicyclo[3.2.1]octane-2-carboxylic acid 2-[2-(3-pyrrolidinylcarbonyl)hydrazide]  (1R,2S,5R)-7-oxo-6-(sulfooxy)-1,6-diazabicyclo[3.2.1]octane-2-carboxylic acid 2-[2-[(3R)-3-pyrrolidinylcarbonyl]hydrazide]  7-oxo-6-(sulfooxy)-1,6-diazabicyclo[3.2.1]octane-2-carboxylic acid 2-[2-(3-pyrrolidinylcarbonyl)hydrazide] (1R,2S,5R)  (2S,5R)-7-oxo-6-(sulfooxy)-1,6-diazabicyclo[3.2.1]octane-2-carboxylic acid 2-[2-[(3R)-3-pyrrolidinylcarbonyl]hydrazide]  4-Oxo-3-[4-(sulfooxy)phenyl]-4H-1-benzopyran-7-yl beta-D-glucopyranosiduronic acid 6-methyl ester 2,3,4-triacetate  4-Oxo-3-[4-(sulfooxy)phenyl]-4H-1-benzopyran-7-yl beta-D-glucopyranosiduronic acid sodium salt (1:2)  11-Oxo-1,4,7,10-tetraazabicyclo[8.2.2]tetradecane-4,7-diacetic acid