Online Database of Chemicals from Around the World

5,10,15,20-四(4-羟基-3-甲氧基苯基)卟啉
[CAS# 22112-80-7]

供应商目录
Porphyrin Systems 德国 询价快递  
+49 (40) 6466-5860
hombrecher@porphyrin-systems.de
化学品生产商 (1999年起)
chemBlink 标准供应商 (2010年起)
成都安斯利生物医药有限公司 中国 询价快递  
+86 (28) 8530-5008
+86 15102825326
may.yang@asleechem.com
QQ 交谈
Skype 聊天
化学品生产商 (2013年起)
chemBlink 标准供应商 (2020年起)
5,10,15,20-四(4-羟基-3-甲氧基苯基)卟啉供应商总目录
基本信息
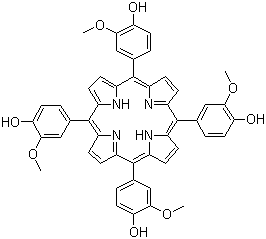
英文名 5,10,15,20-Tetrakis(4-hydroxy-3-methoxyphenyl)porphyrin
别名 5,10,15,20-Tetrakis(p-hydroxy-m-methoxyphenyl)porphyrin; 4,4',4'',4'''-(21H,23H-Porphine-5,10,15,20-tetrayl)tetrakis(2-methoxyphenol)
产品名称 5,10,15,20-四(4-羟基-3-甲氧基苯基)卟啉
分子结构 CAS 登录号:22112-80-7, 5,10,15,20-四(4-羟基-3-甲氧基苯基)卟啉
分子式 C48H38N4O8
分子量 798.84
CAS 登录号 22112-80-7
物理化学性质
密度 1.377
市场分析报告
请浏览5,10,15,20-四(4-羟基-3-甲氧基苯基)卟啉市场分析报告总目录
相关产品
四(乙基甲氨基)锆  四(乙基甲基氨基)钛  四乙基甲基氨基钒  1,3,6,8-四(4-甲酰基苯基)芘  四(4-甲酰基苯基)硅烷  四(全氟丁酸)二铑  4,4,9,9-四(4-己基苯基)-2,7-二(三甲基锡烷基)-4,9-二氢对称引达省并[1,2-b:5,6-b]二噻吩  四(2-羟基乙氧基)硅烷  N,N,N',N'-四(2-羟乙基)己二酰胺  N,N,N',N'-四(2-羟乙基)乙二胺  四羟甲基氯化磷  四羟甲基氯化磷脲缩体  四羟甲基硫酸磷  四羟甲基硫酸磷脲缩体  5,5',7,7'-四(羟基甲基)-3,3'-螺双[2,4,6-三氧杂-3-硼杂双环[3.3.0]辛烷]-8,8'-二醇钙  N,N,N',N'-四(2-羟基戊基)乙二胺  1,1,2,2-四(4-羟基苯基)乙烷  5,10,15,20-四(4-羟基苯基)卟啉  N,N,N',N'-四(2-羟基丙基)乙二胺  1,3,5,7-四(4-碘苯基)金刚烷