Online Database of Chemicals from Around the World

四[2-(2-甲氧基乙氧基)乙基]硅酸酯
[CAS# 24685-89-0]

供应商目录
温州共赢化学有限公司 中国 询价快递  
+86 (577) 6449-8589
+86 15325081899
sales@win-winchemical.com
winwinchemical@gmail.com
QQ 交谈
Skype 聊天
化学品生产商 (2007年起)
chemBlink 标准供应商 (2011年起)
四[2-(2-甲氧基乙氧基)乙基]硅酸酯供应商总目录
基本信息
产品分类 化学试剂 >> 硅烷试剂
英文名 Tetrakis[2-(2-methoxyethoxy)ethyl] silicate
别名 C 4-2117
产品名称 四[2-(2-甲氧基乙氧基)乙基]硅酸酯
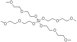
分子结构 CAS 登录号:24685-89-0, 四[2-(2-甲氧基乙氧基)乙基]硅酸酯
分子式 C20H44O12Si
分子量 504.64
CAS 登录号 24685-89-0
EC 号码 246-406-3
物理化学性质
溶解度 微溶 (2.4 g/L) (25 ºC), 计算值*
密度 1.090 g/cm3**
折射率 1.4395**
* 使用计算软件 Advanced Chemistry Development (ACD/Labs) V11.02 (©1994-2018 ACD/Labs)
** "Metal-Organics Catalog" physical property data were obtained from Gelest, Inc. of Morrisville, Pennsylvania (US)
安全数据
危害分类
up    说明
危害分类类别码危害标签
眼刺激Eye Irrit.2H319
特定目标器官毒性—单次接触STOT SE3H335
皮肤刺激Skin Irrit.2H315
市场分析报告
请浏览四[2-(2-甲氧基乙氧基)乙基]硅酸酯市场分析报告总目录
相关产品
四羟甲基氯化磷脲缩体  四羟甲基硫酸磷  四羟甲基硫酸磷脲缩体  5,5',7,7'-四(羟基甲基)-3,3'-螺双[2,4,6-三氧杂-3-硼杂双环[3.3.0]辛烷]-8,8'-二醇钙  N,N,N',N'-四(2-羟基戊基)乙二胺  1,1,2,2-四(4-羟基苯基)乙烷  5,10,15,20-四(4-羟基苯基)卟啉  N,N,N',N'-四(2-羟基丙基)乙二胺  1,3,5,7-四(4-碘苯基)金刚烷  四(巯基乙酸)铈  四(甲氧基乙氧基)硅烷  四甲氧甲基甘脲  N4,N4,N4',N4'-四(4-甲氧基苯基)-[1,1'-联苯]-4,4'-二胺  N4,N4,N4',N4'-四(4-甲氧基苯基)[1,1'-联苯]-4,4'-二胺  四(4-甲氧基苯基)乙烯  2,3,4,6-四-O-[(4-甲氧基苯基)甲基]-D-吡喃半乳糖基氟化物  [5,10,15,20-四(对甲氧基苯基)卟啉]氯化锰(III)  5,10,15,20-四(4-甲氧基苯基)-21H,23H-卟吩  5,10,15,20-四(4-甲氧基苯基)-21H,23H-卟吩氯化铁(III)  (5,10,15,20-四(4-甲氧基苯基)卟啉)铜