Online Database of Chemicals from Around the World

新琼六糖
[CAS# 25023-93-2]

供应商目录
卡博森斯化学科技 (苏州) 有限公司 中国 询价快递  
+86 (512) 6260-5585
sales@carbosynth.com
QQ 交谈
化学品生产商 (2006年起)
chemBlink 标准供应商 (2016年起)
新琼六糖供应商总目录
基本信息
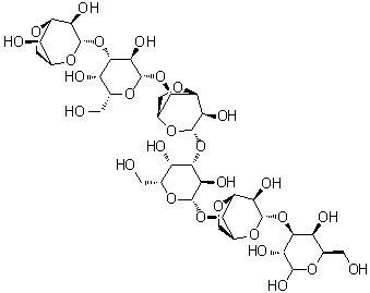
英文名 Neoagarohexaose
别名 O-3,6-Anhydro-alpha-L-galactopyranosyl-(1→3)-O-beta-D-galactopyranosyl-(1→4)-O-3,6-anhydro-alpha-L-galactopyranosyl-(1→3)-O-beta-D-galactopyranosyl-(1→4)-O-3,6-anhydro-alpha-L-galactopyranosyl-(1→3)-D-galactose
产品名称 新琼六糖
分子结构 CAS 登录号:25023-93-2, 新琼六糖
分子式 C36H56O28
分子量 936.81
CAS 登录号 25023-93-2
物理化学性质
溶解度 微溶 (2 g/L) (25 ºC), 计算值*
密度 1.81±0.1 g/cm3 (20 ºC 760 torr), 计算值*
* 使用计算软件 Advanced Chemistry Development (ACD/Labs) V11.02 (©1994-2016 ACD/Labs)
市场分析报告
请浏览新琼六糖市场分析报告总目录
相关产品
硝酸钕六水合物  硝酸钕(III)水合物  氮化钕  氧化钕  三溴化钕  Nemoralisin C  奈莫柔比星  新枞酸  新琼二糖  琼胶六糖醇  新琼八糖  新琼四糖  新穿心莲内酯  胂凡纳明  新补骨脂异黄酮  Neobellieria bullata trypsin modulating oostatic factor  新旋覆花内酯 B  新比克白芷内酯  新云实苦素 L  新云实苦素 O