Online Database of Chemicals from Around the World

氨基三甲叉膦酸钾
[CAS# 27794-93-0]

供应商目录
江苏科利恩净水科技有限公司 中国 询价快递  
+86 (519) 8366-1998
info@kelien.com
化学品生产商
chemBlink 标准供应商 (2005年起)
山东省泰和水处理有限公司 中国 询价快递  
+86 (632) 511-3066
th@thwater.com
化学品生产商
chemBlink 标准供应商 (2008年起)
厦门志信化学有限公司 中国 询价快递  
+86 13806087780
sale@simagchem.com
化学品生产商 (2002年起)
chemBlink 标准供应商 (2008年起)
万盛环球股份有限公司 中国 询价快递  
+86 (632) 388-0000
chemical@wealson.com
化学品供销商
chemBlink 标准供应商 (2010年起)
氨基三甲叉膦酸钾供应商总目录
基本信息
产品分类 有机原料 >> 有机膦化合物
英文名 Aminotrimethylenephosphonic acid potassium salt
别名 [Nitrilotris(methylene)]trisphosphonic acid potassium salt
产品名称 氨基三甲叉膦酸钾
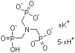
分子结构 CAS 登录号:27794-93-0, 氨基三甲叉膦酸钾
分子式 C3H12NO9P3.xK
CAS 登录号 27794-93-0
EC 号码 248-660-0
安全数据
危害分类
up    说明
危害分类类别码危害标签
眼刺激Eye Irrit.2H319
皮肤刺激Skin Irrit.2H315
特定目标器官毒性—单次接触STOT SE3H335
对金属有腐蚀作用的物质或混合物Met. Corr.1H290
市场分析报告
请浏览氨基三甲叉膦酸钾市场分析报告总目录
相关产品
5-氨基-2,4,6-三碘异酞酰氯  3-氨基-2,4,6-三碘苯甲酸  5-氨基-2,4,6-三碘间苯二甲酸  2'-氨基-3',4',5'-三甲氧基苯乙酮  3-[6-氨基-5-(3,4,5-三甲氧基苯基)-3-吡啶基]苯酚  (1S,2S,3R,5S)-3-氨基-2,6,6-三甲基二环[3.1.1]庚-2-醇  (1R,2R,3S,5R)-3-氨基-2,6,6-三甲基二环[3.1.1]庚-2-醇  5-氨基-1,3,3-三甲基环己烷甲胺 N-[(2-羟基苯基)甲基]衍生物  5-氨基-1,3,3-三甲基环己基甲胺与双酚 A 二缩水甘油醚的均聚物的反应产物  4-氨基-2-[2,5,5-三甲基-[1,3]二恶烷-2-基]苯甲酸  2-氨基-N,N,N-三甲基-乙铵氯化物盐酸盐(1:1:1)  2-氨基-5,6,7-三甲基-1,8-萘啶  2-氨基-5,7,7-三甲基辛酸盐酸盐  2-氨基-5-[(三甲基硅基)乙炔基]吡啶  2-氨基-N,N,4-三甲基-1,3-噻唑-5-甲酰胺  13-氨基-5,8,11-三氧杂-2-氮杂十三烷酸 1,1-二甲基乙酯  11-氨基-3,6,9-三氧杂十一烷醇  (S)-2-氨基-1,1,2-三苯基乙醇  (R)-2-氨基-1,1,2-三苯基乙醇  (alphaZ)-5-氨基-alpha-[(三苯基甲氧基)亚氨基]-1,2,4-噻二唑-3-乙酸离子