Online Database of Chemicals from Around the World

二氢人参皂苷 Rg3
[CAS# 30010-01-6]

供应商目录
CAS: 30010-01-6
产品: 二氢人参皂苷 Rg3
暂时没有厂家供应
基本信息
英文名 Dihydroginsenoside Rg3
别名 (3beta,12beta)-12,20-Dihydroxydammaran-3-yl 2-O-beta-D-glucopyranosyl-beta-D-glucopyranoside; 24,25-Dihydroginsenoside Rg3; 2H-Ginsenoside Rg3
产品名称 二氢人参皂苷 Rg3
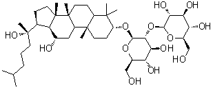
分子结构 CAS 登录号:30010-01-6, 二氢人参皂苷 Rg3
分子式 C42H74O13
分子量 787.03
CAS 登录号 30010-01-6
物理化学性质
溶解度 不溶 (9.4e-5 g/L) (25 ºC), 计算值*
密度 1.29±0.1 g/cm3 (20 ºC 760 torr), 计算值*
* 使用计算软件 Advanced Chemistry Development (ACD/Labs) V11.02 (©1994-2017 ACD/Labs)
市场分析报告
请浏览二氢人参皂苷 Rg3市场分析报告总目录
相关产品
4,7-二氢呋喃并[2,3-c]吡啶-6(5H)-羧酸叔丁酯  2,3-二氢呋喃并[3,2-b]吡啶-4-氧化物  2,3-二氢-5-呋喃硼酸频哪醇酯  二氢加兰他敏  二(氢化牛脂基)邻苯二甲酸酰胺  [5-氯-3-[[4,5-二氢-3-甲基-5-氧代-1-(3-磺基苯基)-1H-吡唑-4-基]偶氮]-2-羟基苯磺酸基]二氢铬酸  [2,4-二氨基-5-[(2-羟基-5-硝基苯基)偶氮]苯磺酸基][1-[(2-羟基-4-硝基苯基)偶氮]-2-萘酚]二氢铬酸  [2-[[4,5-二氢-3-甲基-1-(2-甲基-4-磺基苯基)-5-氧代-1H-吡唑-4-基]偶氮]-4-磺基苯甲酸]二氢铬酸  [mu-[[3,3'-[(3,3'-二羟基[1,1'-联苯]-4,4'-二基)二(偶氮)]二[4-羟基-7-(苯甲酰基氨基)-2-萘磺酸基]](6-)]]二氢二铜酸  六氢氧化铂酸  二氢愈创木脂酸  11,13-二氢锦鸡菌素甲基丙烯酸酯  9,10-二氢-N2,N2,N6,N6,N14,N14-六苯基-9,10[1',2']-苯桥蒽-2,6,14-三胺  2,3-二氢扁柏双黄酮  2,7-二氢高刺桐春  4,5-二氢-2-肼基-1H-咪唑氢溴酸盐  1,3-二氢-5-羟基-2H-苯并咪唑-2-酮  3-(2,3-二氢-7-羟基-1,4-苯并二恶烷-6-基)-1,3-二氢-2H-吲哚-2-酮  2,3-二氢苯并呋喃-5-醇  2,3-二氢-alpha-羟基-5-苯并呋喃乙酸